Share on Google+Share on FacebookShare on LinkedInShare on TwitterShare on DiggShare on Stumble Upon
Custom Search
 
  

PRACTICE PROBLEMS:

Solve the following problems:

1. Using the digits 4, 5, 6, and 7, how many two-digit numbers can be formed

a. without repetition? b. with repetition?

2. Using the digits 4, 5, 6, 7, 8, and 9, how many five-digit

numbers can be formed

a. without repetition?

b. with repetition?

3. Using the digits of problem 2, how many four-digit odd numbers can be formed without repetition?

ANSWERS:

SUMMARY

The following are the major topics covered in this chapter:

1. Definitions:

A combination is defined as a possible selection of a certain number of objects taken from a group without regard to order.

A permutation is defined as a possible selection of a certain number of objects taken from a group with regard to order.

The product of the integers n through 1 is defined as n factorial, and the symbol n! is used to denote this.

2. Factorial: Theorem. If n and r are positive integers, with n greater than r, then

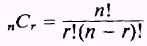
3. Combination formula:

for the number of combinations of n objects taken r at a time.

4. Principle of Choice: If a selection can be made in n1 ways; and after this selection is made, a second selection can be made in n2 ways; and after this selection is made, a third selection can be made in n3 ways; and so forth for r selections, then the sequence of r selections can be made together in ways.

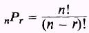
5. Permutation formula:

for the number of permutations of n objects taken r at a time.

6. Arrangements: The number of arrangements of n items, where there are k groups of like items of size r1, r2, rk, respectively, is given by

7. Repetition: Combinations and permutation problems, with or without repetition, may be solved for using position notation instead of formulas.

ADDITIONAL PRACTICE PROBLEMS

1. Find the value of

2. Simplify .

3. Find the value of

4. On each trip, a salesman visits 4 of the 12 cities in his territory. In how many different ways can he schedule his route?

5. From six men and five women, find the number of groups of four that can be formed consisting of two men and two women.

6. Find the value of

7. In how many ways can the 18 members of a boy scout troop elect a president, a vice-president, and a secretary, assuming that no member can hold more than one office?

8. How many different ways can 4 red, 3 blue, 4 yellow, and 2 green bulbs be arranged on a string of Christmas tree lights with 13 sockets?

9. How many car tags can be made if the first three positions are letters and the last three positions are numbers (Hint: Twenty-six letters and ten distinct single-digit numbers are possible)

a. with repetition?

b. without repetition?

ANSWERS TO ADDITIONAL PRACTICE PROBLEMS

 



Managed Security Service Provider


Privacy Statement - Copyright Information. - Contact Us

Integrated Publishing, Inc. - A (SDVOSB) Service Disabled Veteran Owned Small Business