Share on Google+Share on FacebookShare on LinkedInShare on TwitterShare on DiggShare on Stumble Upon
Custom Search
 
  

POWERS OF TRIGONOMETRIC FUNCTIONS

The integrals of powers of trigonometric functions will be limited to those which may, by substitution, be written in the form

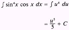
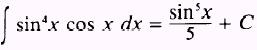
EXAMPLE: Evaluate

SOLUTION: Let

so that

By substitution,

Then, by substitution again, find that

Therefore,

EXAMPLE: Evaluate

SOLUTION: Let

u = cos x

so that

du = -sin x dx

We know that

so by substitution

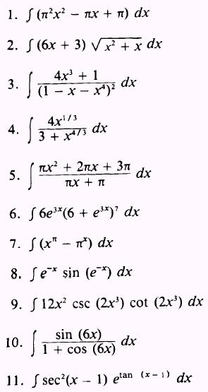
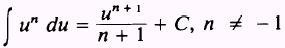
PRACTICE PROBLEMS: Evaluate the following integrals:

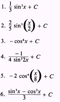
ANSWERS:

SUMMARY

The following are the major topics covered in this chapter:

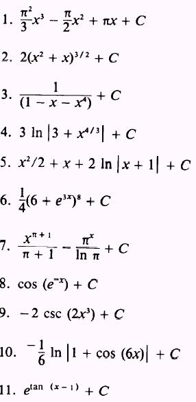
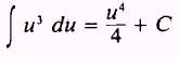
1. Integral of a variable to a power: The integral of a variable to a power is the variable to a power increased by one and divided by the new power.

Formula.

2. Integral of a constant: A constant may be written either before or after the integral sign.

Formula.

3. Integral of the sum of differentiable functions: The integral of an algebraic sum of differentiable functions is the same as the algebraic sum of the integrals of these functions taken separately.

Formula.

4. Integral of a function raised to a power: The integral of a function raised to a power is found by the following steps:

1. Increase the power of the function by 1.

2. Divide the result of step 1 by this increased power. 3. Add the constant of integration.

Formula.

5. Integral of quotients:

Method 1. Integrate by putting the quotient into the form of the power of a function.

Method 2. Integrate quotients by use of operations of logarithms.

Formula.

Method 3. Integrate quotients by changing the integrand into a polynomial plus a fraction by dividing the denominator into the numerator.

6. Integral of a constant to a variable power:

Formula.

where u is a variable, ais any constant, and e is a defined constant.

7. Integral of trigonometric functions:

8. Integral of powers of trigonometric functions: The integrals of powers of trigonometric functions will be limited to those which may, by substitution, be written in the form J u" du.

ADDITIONAL PRACTICE PROBLEMS Evaluate the following integrals:

ANSWERS TO ADDITIONAL PRACTICE PROBLEMS



Managed Security Service Provider


Privacy Statement - Copyright Information. - Contact Us

Integrated Publishing, Inc. - A (SDVOSB) Service Disabled Veteran Owned Small Business