Share on Google+Share on FacebookShare on LinkedInShare on TwitterShare on DiggShare on Stumble Upon
Custom Search
 
  

AREA UNDER A CURVE

To find the area under a curve, we must agree on what is desired. In figure 6-1, where f(x) is equal to the constant 4 and the "curve" is the straight line

the area of the rectangle is found by multiplying the height times the width. Thus, the area under the curve is

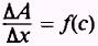
The next problem is to find a method for determining the area under any curve, provided that the curve is continuous. In figure 6-2, the area under the curve

between points x and x + x is approximately .

We consider that x is small and the area given is A .

Figure 6-2.-Area A.

This area under the curve is nearly a rectangle. The area A, under the curve, would differ from the area of the rectangle by the area of the triangle ABC if AC were a straight line.

When x becomes smaller and smaller, the area of ABC becomes smaller at a faster rate, and ABC finally becomes indistinguishable from a triangle. The area of this triangle becomes negligible when x is sufficiently small.

 

Therefore, for sufficiently small values of x, we can say that

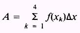
Now, if we have the curve in figure 6-3, the sum of all the rectangles will be approximately equal to the area under the curve and bounded by the lines at a and b. The difference between the actual area under the curve and the sum of the areas of the rectangles will be the sum of the areas of the triangles above each rectangle.

As x is made smaller and smaller, the sum of the rectangular areas will approach the value of the area under the curve. The sum of the areas of the rectangles may be indicated by

where (sigma) is the symbol for sum, n is the number of rectangles, is the area of each rectangle, and k is the designation number of each rectangle. In the particular example just discussed, where we have four rectangles, we would write

and we would have only the sum of four rectangles and not the limiting area under the curve.

When using the limit of a sum, as in equation (6.3), we are required to use extensive algebraic techniques to find the actual area under the curve.

To this point we have been given a choice of using arithmetic and finding only an approximation of the area under a curve or using extensive algebra to find the actual area.

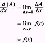
We will now use calculus to find the area under a curve fairly easily.

In figure 6-4, the areas under the curve, from a to b, is shown as the sum of the areas of and . The notation , means the area under the curve from a to c.

The Intermediate Value Theorem states that

where f(c) in figure 6-4 is the value of the function at an intermediate point between a and b.

 

Figure 6-4.-Designation of limits.

We now modify figure 6-4 as shown in figure 6-5.

When

x=a

then

We see in figure 6-5 that

therefore, the increase in area, as shown, is

 

Figure 6-5.-Increments of area at fc).

 

Reference to figure 6-5 shows

where c is a point between a and b. Then by substitution

or

and as x approaches zero, we have

Now, from the definition of integration

where C is the constant of integration, and

but

therefore,

By solving for C, we have

and by substituting -F(a) into equation (6.4), we find

If we let

then

where F(b) and F(a) are the integrals of the function of the curve at the values b and a.

The constant of integration C is omitted in equation (6.5) because when the function of the curve at b and a is integrated, C will occur with both F(a) and F(b) and will therefore be subtracted from itself.

NOTE: The concept of the constant of integration is more fully explained later in this chapter.

EXAMPLE. Find the area under the curve

Figure 6-6.-Area of triangle and rectangle.

in figure 6-6, bounded by the vertical lines at a and b and the X axis.

SOLUTION. We know that

and we find that

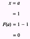
Then, substituting the values for a and b into , we find that when

and when

Then by substituting these values in

we find that

We may verify this by considering figure 6-6 to be a triangle with base 4 and height 8 sitting on a rectangle of height 1 and base 4. By known formulas, we find the area under the curve to be 20.



Managed Security Service Provider


Privacy Statement - Copyright Information. - Contact Us

Integrated Publishing, Inc. - A (SDVOSB) Service Disabled Veteran Owned Small Business