Share on Google+Share on FacebookShare on LinkedInShare on TwitterShare on DiggShare on Stumble Upon
Custom Search
 
  

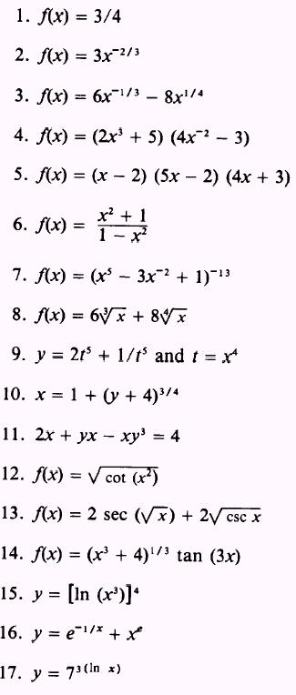
ADDITIONAL PRACTICE PROBLEMS

Find the derivative of the following:

ANSWERS TO ADDITIONAL PRACTICE PROBLEMS 



Managed Security Service Provider


Privacy Statement - Copyright Information. - Contact Us

Integrated Publishing, Inc. - A (SDVOSB) Service Disabled Veteran Owned Small Business