Share on Google+Share on FacebookShare on LinkedInShare on TwitterShare on DiggShare on Stumble Upon
Custom Search
 
  

SLOPES OF PARALLEL AND PERPENDICULAR LINES

If two lines are parallel, their slopes must be equal. Each line will cut the X axis at the same angle a so that if

We conclude that two lines which are parallel have the same slope.

Suppose that two lines are perpendicular to each other, as lines L1 and L2 in figure 1-5. The slope and angle of inclination of L1 are m1 and a1, respectively. The slope and angle of inclination of L2 are m2 and a2, respectively. Then the following is true:

Although not shown here, the fact that a2 (fig1-5) is equal to a, plus 90 can be proven geometrically. Because of this relationship

 

Figure 1-5.-Slopes of perpendicular lines.

 

Replacing tan a, and tan aZ by their equivalents in terms of slope, we have

We conclude that if two lines are perpendicular, the slope of one is the negative reciprocal of the slope of the other. Conversely, if the slopes of two lines are negative reciprocals of each other, the lines are perpendicular.

 

 

 

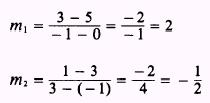
EXAMPLE: In figure 1-6 show that line L1 is perpendicular to line L2. Line L1 passes through points P1(0,5) and P2 (-1,3). Line L2 passes through points P2(-1,3) and P3(3,1).

Figure 1-6.-Proving lines perpendicular.

SOL UTION: Let m1 and M2 represent the slope of lines L1 and L2, respectively. Then we have

Since their slopes are negative reciprocals of each other, the lines are perpendicular.

PRACTICE PROBLEMS:

1. Find the distance between P1 (5,3) and P2 (6,7).

2. Find the distance between P1 (1/2,1) and P2 (3/2,5/3).

3. Find the midpoint of the line connecting P1 (5,2) and P2 (-1, -3).

4. Find the slope of the line joining P1 (-2,- 5) and P2 (2,5).

5. Find the slope of the line perpendicular to the line joining P1(-3,6) and P2(-5,-2).

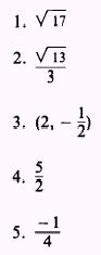
ANSWERS: 1, 17

 



Managed Security Service Provider


Privacy Statement - Copyright Information. - Contact Us

Integrated Publishing, Inc. - A (SDVOSB) Service Disabled Veteran Owned Small Business