Share on Google+Share on FacebookShare on LinkedInShare on TwitterShare on DiggShare on Stumble Upon
Custom Search
 
  

TRANSFORMATION FROM POLAR TO CARTESIAN COORDINATES

To transform to an equation in Cartesian or rectangular coordinates from an equation in polar coordinates, use the following equations, which can be derived from figure 2-22:

Figure 2-22.-Polar to cartesian relationship.

EXAMPLE: Change the equation

to an equation in rectangular coordinates

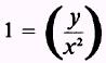
SOLUTION: Applying relations (2.14), (2.15), and (2.16) to the above equation gives

Dividing both sides by we obtain

or

y=x2

which is the equation we set out to find.

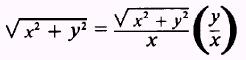
EXAMPLE: Change the following equation to an equation in rectangular coordinates:

SOLUTION: Written without a denominator, the polar equation is

Using the transformations

we have

y-3x=3

as the equation in rectangular coordinates.



Managed Security Service Provider


Privacy Statement - Copyright Information. - Contact Us

Integrated Publishing, Inc. - A (SDVOSB) Service Disabled Veteran Owned Small Business