Share on Google+Share on FacebookShare on LinkedInShare on TwitterShare on DiggShare on Stumble Upon
Custom Search
 
  

MAXIMUM AND MINIMUM POINTS

It will be seen from the graphs of quadratics in one variable that a parabola has a maximum or minimum value, depending on whether the curve opens upward or downward. Thus, when a is negative the curve passes through a maximum value; and when a is positive, the curve passes through a minimum value. Often these maximum or minimum values comprise the only information needed for a particular problem.

In higher mathematics it can be shown that the X coordinate, or abscissa, of the maximum or minimum value is

In other words, if we divide minus the coefficient of the x term by twice the coefficient of the x2 term, we have the X coordinate of the maximum or minimum point. If we substitute this value for x in the original equation, the result is the Y value or ordinate, which corresponds to the X value.

For example, we know that the graph of the equation

x2 + 2x - 8 = y

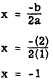
passes through a minimum value because a is positive. To find the coordinates of the point where the parabola has its minimum value, we note that a = 1, b = 2, c = -8. From the rule given above, the X value of the minimum point is

Substituting this value for x in the original equation, we have the value of the Y coordinate of the minimum point. Thus,

The minimum point is (-1, -9). From the graph in figure 16-I (A), we see that these coordinates are correct. Thus, we can quickly and easily find the coordinates of the minimum or maximum point for any quadratic of the form ax2 + bx + c = 0.

Practice problems. Without graphing, find the coordinates of the maximum or minimum points for the following equations and state whether they are maximum or minimum.


Figure 16-2. - Graph of x2 - 4x - 8 =
0.

Answers:


Figure 16-3.-Graph of 6x - 5 - x2 = 0.



Managed Security Service Provider


Privacy Statement - Copyright Information. - Contact Us

Integrated Publishing, Inc. - A (SDVOSB) Service Disabled Veteran Owned Small Business