Share on Google+Share on FacebookShare on LinkedInShare on TwitterShare on DiggShare on Stumble Upon
Custom Search
 
  

OTHER FORMS FOR PROPORTIONS

If four numbers, for example, a, b, c, and d, form a proportion, such as

they also form a proportion according to other arrangements.

    Inversion

The four selected numbers are in proportion by INVERSION in the form

The inversion relationship is proved as follows, by first multiplying both members of the original proportion by :

Note that the product of the means and the product of the extremes still yield the same equality as in the original proportion.

The inversion relationship may be illustrated by the following numerical example:

Therefore,

Alternation

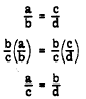
The four selected numbers (a, b, c, and d) are in proportion by ALTERNATION in the following form:

To prove the alternation relationship, first

multiply both sides of the original proportion

by b/ c, as follows:

The following numerical example illustrates alternation:

Therefore,



Managed Security Service Provider


Privacy Statement - Copyright Information. - Contact Us

Integrated Publishing, Inc. - A (SDVOSB) Service Disabled Veteran Owned Small Business