Share on Google+Share on FacebookShare on LinkedInShare on TwitterShare on DiggShare on Stumble Upon
Custom Search
 
  

GENERAL FORM OF A LINEAR EQUATION

The expression GENERAL FORM, in mathematics, implies a form to which all expressions or equations of a certain type can be reduced. The only possible terms in a linear equation in one variable are the first-degree term and the constant term. Therefore, the general form of a linear equation in one variable is

ax + b = 0

By selecting various values for a and b, this form can represent any linear equation in one variable after such an equation has been simpli represents the numerical equation

    7x + 5 = 0

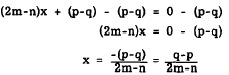
If a = 2m - n and b = p - q, then ax + b =0 represents the literal equation

    (2m-n)x + p - q = 0

This equation is solved as follows:

USING EQUATIONS TO SOLVE PROBLEMS

To solve a problem, we first translate the numerical sense of the problem into an equation. To see how this is accomplished, consider the following examples and their solutions.

EXAMPLE 1: Together Smith and Jones have $120. Jones has 5 times as much as Smith. How much has Smith?

SOLUTION:

Step 1. Get the problem clearly in mind. There are two parts to each problem-what is given (the facts) and what we want to know (the question). In this problem. we know that Jones has 5 times as much as Smith and together they have $120. We want to know how much Smith has.

Step 2. Express the unknown as a letter. Usually we express the unknown or number we know the least about as a letter (conventionally we use x). Here we know the least about Smiths money. Let x represent the number of dollars Smith has.

Step 3. Express the other facts in terms of the unknown. If x is the number of dollars Smith has and Jones has 5 times as much, then 5x is the number of dollars Jones has.

Step 4. Express the facts as an equation. The problem will express or imply a relation between the expressions in steps 2 and 3. Smiths dollars plus Jones dollars equal $120. Translating this statement into algebraic symbols, we have

    x + 5x = 120

Solving the equation for x,

        6x = 120
        
  x = 20

Thus Smith has $20.

Step 5. Check: See if the solution satisfies the original statement of the problem. Smith and Jones have $120.

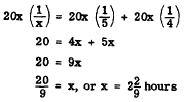
EXAMPLE 2: Brown can do a piece of work in 5 hr. If Olsen can do it in 4 hr how long will it take them to do the work together?

SOLUTION:

Step 1. Given: Brown could do 5 hr. Olsen could do it in 4 hours. the work in
Unknown: How long it takes them to do the
work together.

Step 2. Let x represent the time it takes them to do the work together.

Step 3. Then 1/x is the amount they do together in 1 hr. Also, in 1 hour Brown does 1/5 of the work and Olsen does 1/4 of the work

Step 4. The amount done in 1 hr is equal to the part of the work done by Brown in 1 hr plus that done by Olsen in 1 hr.

Solving the equation, 

They complete the work together in 2 2/9: hours.

Practice problems. Use a linear equation in one variable to solve each of the following problems:

1. Find three numbers such that the second is twice the first and the third is three times as large as the first. Their sum is 180.

2. A seaman drew $75.00 pay in dollar bills and five-dollar bills. The number of dollar bills was three more than the number of five- draw? (Hint: If x is the number of five-dollar bills, then 5x is the number of dollars they represent.)

3. Airman A can complete a maintenance task in 4 hr. Airman B requires only 3 hr to do the same work. If they work together, how long should it take them to complete the job?

Answers:

1. First number is 30.
Second number is 60.
Third number is 90.

2. Number of five-dollar bills is 12.
Number of one-dollar bills is 15.



Managed Security Service Provider


Privacy Statement - Copyright Information. - Contact Us

Integrated Publishing, Inc. - A (SDVOSB) Service Disabled Veteran Owned Small Business