Custom Search
 
  

 
MECHANICAL ADVANTAGES OF HYDRAULIC PRESSURE

Another aspect to understand about hydraulic machines is the relationship between the force you apply and the result you get. Figure 10-7 will help you understand this principle. The U-shaped tube has a cross-sectional area of 1 square inch. In each arm is a piston that fits snugly, but can move up and down. If you place a 1-pound weight on one piston, the other one will push out the top of its arm immediately. If you place a

Figure 10-8.-Equal pressure applied at each end of a tube containing a liquid.

Figure 10-9.-A mechanical advantage of 10.

1-pound weight on each piston, however, each one will remain in its original position, as shown in figure 10-8.

Thus, you see that a pressure of 1 pound per square inch applied downward on the right-hand piston exerts a pressure of 1 pound per square inch upward against the left-hand one. Not only does the force transmit through the liquid around the curve, it transmits equally on each unit area of the container. It makes no difference how long the connecting tube is or how many turns it makes. It is important that the entire system be full of liquid. Hydraulic systems will fail to operate properly if air is present in the lines or cylinders.

Now look at figure 10-9. The piston on the right has an area of 1 square inch, but the piston on the left has an area of 10 square inches. If you push down on the smaller piston with a force of 1 pound, the liquid will transmit this pressure to every square inch of surface in the system. Since the left-hand piston has an area of 10 square inches, each square inch has a force of 1 pound transmitted to it. The total effect is a push on the larger piston with a total force of 10 pounds. Set a 10-pound weight on the larger piston and it will support the 1-pound force of the smaller piston. You then have a 1-pound push resulting in a 10-pound force. Thats a mechanical advantage of 10. This mechanical advantage is why hydraulic machines are important.

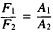
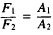
Heres a formula that will help you to figure the forces that act in a hydraulic machine:

In that,

F1 = force, in pounds, applied to the small piston;

F2 = force, in pounds, applied to the large piston;

A1 = area of the small piston, in square inches; and

A2 = area of the large piston, in square inches.

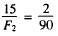
Lets apply the formula to the hydraulic press shown in figure 10-10. The large piston has an area of 90 square inches, and the smaller one has an area of 2 square inches. The handle exerts a total force of 15 pounds on the small piston. With what total force could you raise the large piston?

Write down the formula

Substitute the known values

and



Managed Security Service Provider
 


Privacy Statement - Copyright Information. - Contact Us

Integrated Publishing, Inc. - A (SDVOSB) Service Disabled Veteran Owned Small Business