Custom Search
 
  

 

PRELIMINARY INQUIRY

At small commands cases are referred to division officers for the preliminary inquiry. At large commands the discipline officer or legal officer is delegated the authority to appoint the preliminary inquiry officer (PIO). You need to fill in the name of the PIO at the top of section E on figure 6-1 before referring it to the PIO for action.

It is not the job of the PIO to develop a case against the accused. Rather, the PIO is to collect all available facts about the offense itself and about the background of the accused. You should have a standard form that the PIO prepares for submission to the CO. Figure 6-2 is a good example of what should be included in a PIO's report.

When the accused wishes to waive his or her rights on self-incrimination and to make a statement, Suspect's Rights Acknowledgement/Statement (fig. 6-3) should be used. However, figure 6-3 is a suggested format and its use is not mandatory. You should provide the PIO with this form in case the accused desires to make a statement.

Now let's go back and look at the report chit. In addition to filling out a PIO's report the PIO completes

section E of the report chit (fig. 6-1) by doing the following:

l Inserting a short resume of the division officer's opinion of the accused

l Listing the names of the witnesses whose presence at mast is necessary to dispose of the case

l Recommending a disposition of the case

6 Summarizing the evidence that supports the recommendation

The recommendation of the PIO is not binding on the CO.

After the PIO has completed his or her inquiry, the report chit, preliminary inquiry report, and all statements are sent to the CO for a determination of whether disposition by nonjudicial punishment is appropriate.

PREHEARING ADVICE

If, after the preliminary inquiry, the CO determines that disposition by nonjudicial punishment is appropriate, the CO causes the accused to be given the advice outlined in part V, par. 4, MCM, 1984. The CO need not give the advice personally but may assign this responsibility to the legal officer, discipline officer, or another appropriate person. The advice that must be given includes the following:

. Contemplated action. This informs the accused that the CO is considering the imposition of nonjudicial punishment for the offense(s). . Suspected offense(s). This describes the suspected offense(s) to the accused. The description should

include the specific article(s) of the UCMJ that the accused is alleged to have violated. . Government evidence. This advises the accused

of the information that the allegations are based on. It also informs the accused that, upon request, he or she is allowed to examine all available statements and evidence. . Right to refuse NJP. Unless the accused is attached to or embarked in a vessel (in which case he or

she has no right to refuse NJP), this informs the accused of his or her right to demand trial by court-martial instead of nonjudicial punishment. The accused must also be informed of (1) the maximum punishment that can be awarded at nonjudicial punishment; (2) that if he or she demands trial by court-martial, referral of the

charges to trial by SCM, special court-martial (SPCM), or GCM is possible; (3) that he or she cannot be tried cause an accused who is not attached to or embarked by SCM over his or her objection; and (4) at an SPCM in a vessel has the right to refuse NJP, this informs the or a GCM the accused has the right to representation by accused of his or her right to confer with independent counsel. counsel about his or her decision to accept or refuse l Right to confer with independent counsel. Be-

Figure 6-3.-Suspect's rights acknowledgement/statement.

the NJP. This advice must be given to make sure the imporecord of that NJP is admissible in evidence against sition of nonjudicial punishment invalid or make provide counsel, will not, however, render the a the accused should he or she ever be tried by court-imposmartial. A failure to advise an accused properly of his ing the NJP desires that the record of the NJP ground for appeal. Therefore, if the command or her right to confer with counsel, or a failure to be admissible for court-martial purposes, you must

Figure 6-3.-Suspect's rights acknowledgement/statement-Continued.

prepare the record of the NJP according to applicable service regulations and reflect the following:

The accused was advised of his or her right to confer with counsel.

The accused either exercised his or her right to confer with counsel or made a knowing, intelligent, and voluntary waiver of this right.

The accused knowingly, intelligently, and voluntarily waived his or her right to refuse NJP. All such waivers must be in writing. . Hearing rights. The accused is entitled to appear

personally before the CO for the nonjudicial punishment hearing if he or she did not demand trial by court-martial or if the right to demand trial by courtmartial is not applicable. At such a hearing the accused is entitled to the following:

Be informed of he or her rights under Article 31, UCMJ.

Be accompanied by a spokesperson provided by, or arranged for, the member. (The proceedings should not be unduly delayed to permit the presence of the spokesperson, nor is the spokesperson entitled to travel or similar expenses).

Be informed of the evidence against them relating to the offense.

Be allowed to examine all evidence that the CO will rely on in deciding whether and how much nonjudicial punishment to impose.

Present matters in defense, extenuation, and mitigation, orally, in writing, or both.

Have witnesses present. These witnesses can include those adverse to the accused, upon request, if (a) their statements will be relevant, (b) they are reasonably available, (c) their appearance will not require reimbursement by the government, (d) their appearance will not unduly delay the proceedings or, in the case of a military witness, (e) will not necessitate their being excused from other important duties.

Have the proceedings open to the public unless the CO determines that the proceedings should be closed.

FORMS

The status of the accused determines the form that you must use to record that the accused was informed of his or her prehearing rights.

 

Figures 6-4, 6-5, and 6-6, Accused's Notification and Election of Rights, also illustrated in appendixes A-1-b, A-1-c, and A-1-d of the JAG Manual, comply with the previous requirements of prehearing advice to the accused.

Use appendix A-1-b, figure 6-4, when the accused is attached to or embarked in a vessel.

Use appendix A-1-c, figure 6-5, when an accused is not attached to or embarked in a vessel, and the command does not afford the accused the right to consult with a lawyer to assist the accused in deciding whether to accept or reject NJP. In this case the record of nonjudicial punishment will not be admissible for any purpose at any later court-martial.

Use appendix A-1-d, figure 6-6, when an accused is not attached and to or embarked in a vessel, and the command affords the accused the right to consult with a lawyer before deciding whether to accept or reject nonjudicial punishment.

Use and retention of the proper form are essential. Whatever form you use, attach it to the NAVPERS 1626/7 and retained it in the command's UPB.

In the event punishment is imposed at captain's mast, and appendix A-1-d, figure 6-6, is used, or the accused is represented by a lawyer at the hearing, you will need to document the Booker rights advice on a page 13 of the member's service record book. This is necessary because appendix A-1-d, figure 6-6, stays in the command UPB. If the member transfers out of the area and is later charged with offenses that are referred to a court-martial, the trial counsel can prove Booker rights advice was given with the page 13. As an example, the page 13 should state the following:

(Grade and name of accused) signed JAG Manual appendix A-1-d, before to his or her captain's mast which was held on (date of captain's mast). The accused [talked to a lawyer before deciding whether to demand trial by court-martial instead of captain's mast] [gave up his or her right to talk to a lawyer before to deciding whether to demand trial by court-martial instead of captain's mast]. The accused was advised that acceptance of nonjudicial punishment does not prevent

Figure 6-4.-Accused's notification and election of rights - accused attached to or embarked in a vessel.

Figure 6-4.-Accused's notification and election of rights - accused attached to or embarked in a vessel-Continued.

Figure 6-5.-Accused's notification and election of rights - accused NOT attached to or embarked in a vessel. Record CANNOT be used in aggravation in event of later court-martial unless lawyer served as personal representative.

Figure 6-5.-Accused's notification and election of rights - accused NOT attached to or embarked in a vessel. Record CANNOT be used in aggravation in event of later court-martial unless lawyer served as personal representative-Continued.

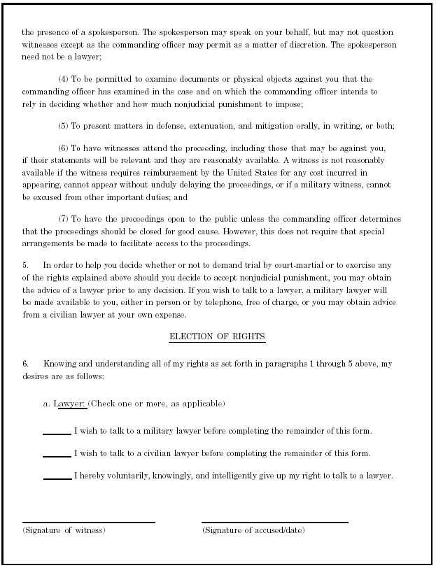
Figure 6-6.-Accused's notification and election of rights - accused NOT attached to or embarked in a vessel. Record MAY be used in aggravation in event of later court-martial.

Figure 6-6.-Accused's notification and election of rights - accused NOT attached to or embarked in a vessel. Record MAY be used- in aggravation in event of later court-martial-Continued.

Figure 6-6.-Accused's notification and election of rights - accused NOT attached to or embarked in a vessel. Record MAY be used in aggravation in event of later court-martial-Continued.

further administrative action. In completing the remainder of the form, the accused did not demand trial by court-martial instead of captain's mast.

If the accused is represented by a military or civilian lawyer as a personal representative at his or her captain's mast, the following example should be made on a page 13:

(Grade and name of accused) received punishment at captain's mast on (date). The accused was represented by a lawyer.

If the member refuses to sign the forms, simply record that you advised him or her of his or her rights but the member declined to sign the forms. Note that the member must demand trial by court-martial and if he or she fails to make such a demand, the command may proceed with nonjudicial punishment. Once all preheating advice is given, the accused is ready for XO's screening.



Managed Security Service Provider
 


Privacy Statement - Copyright Information. - Contact Us

Integrated Publishing, Inc. - A (SDVOSB) Service Disabled Veteran Owned Small Business