Share on Google+Share on FacebookShare on LinkedInShare on TwitterShare on DiggShare on Stumble Upon
Custom Search
 
  

 
AREA BY TRAPEZOIDAL FORMULA. It is often necessary to compute the area of an irregular figure, one or more of whose sides do not forma straight

Figure 7-28.Area of irregular figure by trapezoidal rule.

line. For illustration purpose, let us assume that figure 7-28 is a parcel of land in which the south, east, and west boundaries are straight lines perpendicular to each other, but the north boundary is a meandering shoreline. To determine the area of this figure, first lay off conveniently equal intervals (in this case, 50.0-foot intervals) from the west boundary and erect perpendiculars as shown. Measure the perpendiculars. Call the equal interval d and the perpendiculars (beginning with the west boundary and ending with the east boundary) hl through h2.

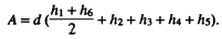
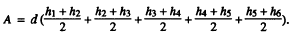
Now, you can see that for any segment lying between two perpendiculars, the approximate area, by the rule for determining the area of a trapezoid, equals the product of d times the average between the perpendiculars. For the most westerly segment, for example, the area is

The total area equals the sum of the areas of the segments; therefore, since d is a factor common to each segment, the formula for the total area may be expressed as follows:

Figure 7-29.Computing area by counting the squares.

However, this works out to

And this, in turn, reduces to

Substituting in the formula the data from figure 7-26, you have

If you work this out, you will find that the result is 25,950 square feet or approximately 0.6 acre.

AREA BY COUNTING THE SQUARES. Another method of computing the area of an irregular figure is to plot the figure on a sheet of graph paper (plotting is explained later in this chapter). Then you determine the area by counting the squares within the figure outline and multiplying the result by the area represented by each square.

Figure 7-29 shows the same figure shown in figure 7-28 but plotted to scale on a sheet of graph paper on which each of the small squares is 5 feet x 5 feet or 25 square feet. When you count the squares within the outline, you will find that they total 1,038 squares which means

1,038 x 25 = 25,950 square feet.



Managed Security Service Provider
 


Privacy Statement - Copyright Information. - Contact Us

Integrated Publishing, Inc. - A (SDVOSB) Service Disabled Veteran Owned Small Business