Share on Google+Share on FacebookShare on LinkedInShare on TwitterShare on DiggShare on Stumble Upon
Custom Search
 
  

 
Earthwork Computations

Computing earthwork volumes is a necessary activity for nearly all construction projects and is often accomplished as a part of route surveying, especially for roads and highways. Suppose, for example, that a volume of cut must be removed between two adjacent stations along a highway route. If the area of the cross section at each station is known, you can compute the average-end area (the average of the two cross-sectional areas) and then multiply that average end area by the known horizontal distance between the stations to determine the volume of cut.

To determine the area of a cross section easily, you can run a planimeter around the plotted outline of the section. Counting the squares, explained in chapter 7 of this traman, is another way to determine the area of a cross section. Three other methods are explained below.

AREA BY RESOLUTION. Any regular or irregular polygon can be resolved into easily calculable geometric figures, such as triangles andABH and DFE, and two trapezoids, BCGH and CGFD. For each of these figures, the approximate dimensions have been determined by the scale of the plot. From your knowledge of mathematics, you know that the area of each triangle can be determined using the following formula:

Where:

s = one half of the perimeter of the triangle, 

and that for each trapezoid, you can calculate the area using the formula:

When the above formulas are applied and the sum of the results are determined, you find that the total area of the cross section at station 305 is 509.9 square feet.

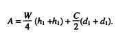
AREA BY FORMULA. A regular section area for a three-level section can be more exactly determined by applying the following formula:

Figure 10-4.A cross section plotted on cross-section paper.

Figure 10-5.Cross section resolved into triangles and trapezoids.

In this formula, W is the width of the highway; hl and hr, are the vertical distances of the left and right slope stakes above grade; dl and dr are the center-line distances of the left and right slope stakes; and c is the depth of the center-line cut or fill. Applying the formula for station 305 + 00 (fig. 10-4), you get the following results:

A = (40/4)(8.2+ 12.3)+ (9.3/2)(29.8+ 35.3)= 507.71 square feet.

AREA OF FIVE-LEVEL OR IRREGULAR SECTION. Figures 10-6 and 10-7 are the field notes and plotted cross sections for two irregular sections. To

Figure 10-7.Cross-section plots of stations 305 and 306 noted in figure 10-6.

Figure 10-6.Field notes for irregular sections.

determine the area of sections of this kind, you should use a method of determining area by coordinates. For explanation purpose, lets consider station 305 (fig. 10-6). First, consider the point where the center line intersects the grade line as the point of origin for the coordinates. Vertical distances above the grade line are positive Y coordinates; vertical distances below the grade line are negative Y coordinates. A point on the grade line itself has a Y coordinate of 0. Similarly, horizontal distances to the right of the center line are positive X coordinates; distances to the left of the center line are negative X coordinates; and any point on the center line itself has an X coordinate of 0.

Plot the cross section, as shown in figure 10-7, and be sure that the X and Y coordinates have their proper signs. Then, starting at a particular point and going successively in a clockwise direction, write down the coordinates, as shown in figure 10-8.

After writing down the coordinates, you then multiply each upper term by the algebraic difference of the following lower term and the preceding lower term, as indicated by the direction of the arrows (fig. 10-8). The algebraic sum of the resulting products is the double area of the cross section. Proceed with the computation as follows:

Since the result (1,080.70 square feet) represents the double area, the area of the cross section is one half of that amount, or 540.35 square feet. By similar method, the area of the cross section at station 306 (fig. 10-7) is 408.40 square feet.



Managed Security Service Provider
 


Privacy Statement - Copyright Information. - Contact Us

Integrated Publishing, Inc. - A (SDVOSB) Service Disabled Veteran Owned Small Business