Share on Google+Share on FacebookShare on LinkedInShare on TwitterShare on DiggShare on Stumble Upon
Custom Search
 
  

 
TYPE COMMANDER EVALUATION OF PMS

In addition to shipboard evaluation, type commanders (TYCOMs) are also tasked with monitoring the effective management of PMS within their respective commands. The TYCOM conducts PMS inspections at periods of 18 to 24 months, using his or her own qualified inspectors, working in conjunction with the ship's 3-M coordinator and other shipboard managers as required. These inspections are conducted on a "no advance notice" basis. A PMS Performance Rate (PPR) of less than 75 percent is a failing grade and will definitely bring down some high-powered attention from such people as your squadron or group commander.

To ensure standardization for the measurement of PMS performance, you should use the following definitions to evaluate PMS performance:

PPR-(PMS Performance Rate). This is an overall quantitative evaluation of the actual performance of the required maintenance planned for accomplishment.

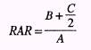
RAR--(PMS Recorded Accomplishment Rate).

This is the percentage of maintenance scheduled during the period of examination that is recorded as accomplished.

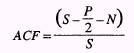
ACF-(PMS Accomplishment Confidence Factor). This is the percentage of maintenance recorded as accomplished that is evaluated as actually having been performed.

A- This is the symbol that identifies the number of maintenance requirements actually scheduled. It is used to compute the RAR.

B- 1 This is the symbol for the number of maintenance requirements recorded as fully accomplished. It is also used in computing the RAR.

C- This is the symbol for the number of partials and is the final factor required to compute the RAR.

N- This is the symbol for the number of maintenance requirements evaluated by the

inspector as not accomplished. It is used to compute the ACF.

P- This is the symbol for the number of maintenance requirements evaluated by the inspector as having been partially accomplished. It also is required to compute the ACF.

S- This symbol represents the number of maintenance requirements sampled by the inspector and is the final factor required to compute the ACF.

The ship's final grade is determined by computation of its PMS Performance Rate (PPR) as follows:

First, you must determine the RAR by using the following formula:

Second, determine ACF by using the formula

Now you can determine your PPR by using the formula

This system may seem complicated but is actually simple once you have learned to use it. You can use it to monitor your accomplishment rate, as well as to identify problem areas within your ship's PMS program. Detailed instructions on PMS inspections and their procedures are located in chapter 5 of OPNAVINST 4790.4.

QUALITY ASSURANCE

LEARNING OBJECTIVES: Discuss the quality assurance program, its importance, and responsibilities of the Gunner's Mate with respect to naval ordnance.

The Quality Assurance (QA) program is designed to provide the fleet with safe ordnance material of the highest quality in a timely manner. The basic priorities are safety first, quality second, and quantity third. The program is conducted when the material is acquired from the contractors and during receipt, production, maintenance, stowage, and issue of ordnance material at naval activities.

Quality assurance requirements and procedures ensure that:

1. Incoming ordnance material is of the designated type and quality; has not been damaged in shipment; is identified with the appropriate condition code status (serviceable, unserviceable, suspended, etc.); and is packed, packaged, and preserved as necessary. This will permit further processing in a safe manner and aid in the prevention of material damage or deterioration during stowage, handling, and issue.

2. Ordnance material is segregated into compatible groups by explosive content and condition code for stowage, further processing, or transshipment.

3. Ordnance material is controlled during handling and stowage to prevent the existence of unsafe conditions or degradation of serviceable material.

4. Periodic maintenance is performed as required and maintenance and renovation operations are controlled to ensure that ordnance material completing these operations conforms to all applicable specification requirements.

5. Only safe and serviceable ordnance material is issued to operational units.

6. Ordnance material destined for outload is packed, packaged, and preserved as specified in applicable technical documents and, after loading, is securely blocked, braced, and dunnaged in the carrier to facilitate safe transport.



Managed Security Service Provider
 


Privacy Statement - Copyright Information. - Contact Us

Integrated Publishing, Inc. - A (SDVOSB) Service Disabled Veteran Owned Small Business