Share on Google+Share on FacebookShare on LinkedInShare on TwitterShare on DiggShare on Stumble Upon
Custom Search
 
  

 
Mechanical Power Measure

Mechanical power (such as that supplied by a bulldozer) is measured in units called FOOT-POUNDS PER SECOND (ft-lb/sec) or FOOT-POUND PER MINUTE (ft-lb/min). A foot-pound is the amount of energy required to raise 1 lb a distance of 1 ft against the force of gravity.

One HORSEPOWER equals 33,000 ft-lb/sec or 550 ft-lb/min. One horsepower equals about 746 watts.

CONVERSION OF UNITS

To convert a measure expressed in terms of one unit to the equivalent in terms of a different unit is, when you know the ratio between the units, a simple proportional equation problem. Suppose, for example, that you want to convert a linear distance in engineers measure (feet and decimals of feet) to the equivalent in carpenters measure (feet and twelfths of feet) to the nearest one-eighth in. Suppose that the original distance is 12.65 ft. This means "12 ft and 65 hundredths of a foot." You want to determine first, then, how many twelfths of a foot there are in 65 hundredths of a foot. The original ratio is 12/100. The proportional equation solution is as follows:

Therefore, there are 7.8 in. (twelfths of a foot) in 0.65 ft. The next step is to determine how many eighths of an in. there are in 0.8 in.; that is, in eight-tenths of an in. The initial ratio is 8/10, and the proportional equation solution is as follows:

Therefore, there are (rounded off) 6/8 in,, or 3/4 in., in 0.8 in. In 12.65 ft, then, there are 12 ft 7 3/4 in. to the nearest 1/8 in. 

Actually, the proportional method used above can be simplified by using the following solution: Convert 12.65 ft to the nearest 1/8 in. in carpenters measure. 12.65 ft = 12 ft + (0.65 x 12 = 7.8 in,)    

    = 12 ft 7.8 in.

    = 12 ft 7.0 in. + (0.8 x 8 = 6.4 eighths)

    = 12 ft 7.0 in. + 6/8 in. or 3/4 in. to the nearest eighth in.

    = 12 ft 7 3/4 in.

In converting from engineers to carpenters linear measure, or vice versa, surveyors working with values to only the nearest 0.01 ft fre-quently use the following conversions to decimal equivalents of inches from 1 through 11 and decimal equivalents of the common carpenters-measure subdivisions of the inch.

    1 in. = 0.08 ft

    2 in. = 0.17 ft

    3 in. = 0.25 ft

    4 in. = 0.33 ft

    5 in. = 0.42 ft

    6 in. = 0.50 ft

    7 in. = 0.58 ft

    8 in. = 0.67 ft

    9 in. = 0.75 ft

    10 in. = 0.83 ft

    11 in, = 0.92 ft

   

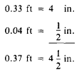
Using these values, you can convert decimals of a foot to inches carpenters measure, or inches carpenters measure to decimals of a foot, very easily. To convert (for example) 0.37 ft to inches carpenters measure, you have the following:

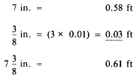
To convert (for example) 7 3/8 in. carpenters measure to engineers measure, you have the following:

For a great many types of conversions there are tables in which you can find the desired values by inspection. Various publications contain tables for making the following conversions:

    Meters to feet

    Feet to meters

    Degrees Centigrade to degrees Fahrenheit

    Degrees Fahrenheit to degrees Centigrade

    Inches and sixteenths to decimals of a foot

    Sixteenths of an inch to decimals of a foot

    Minutes to decimals of a degree

    Degrees to roils and roils to degrees

    Grads to degrees, minutes, and seconds

A conversion factor is a number that, if multiplied by a value expressed in terms of one unit, will produce the equivalent value ex-pressed in terms of a different unit. The factor for converting linear feet to miles, for instance, is 0.00019. If you multiply 5,280 ft by 0.00019, you get 1.0032 miles, which is close enough to a mile to satisfy most practical purposes. When you know the ratio between two different units, you can easily work out your conversion factor. For example, you know that the ratio of degrees to roils is

The conversiom factor for converting degrees to roils is the number of roils in 1 degree, which is

The conversion factor converting roils to degrees is the number of degrees in a roil, which is

Some of the common conversion factors are as follows :

Linear feet x 0.00019 = miles

Linear yards x 0.0006 = miles

Square inches x 0.007 = square feet

Square feet x 0.111 = square yards

Square yards x 0.0002067 = acres

Acres x 4840.0 = square yards

Cubic inches x 0.00058 = cubic feet

Cubic feet x 0.03704 = cubic yards



Managed Security Service Provider
 


Privacy Statement - Copyright Information. - Contact Us

Integrated Publishing, Inc. - A (SDVOSB) Service Disabled Veteran Owned Small Business