Share on Google+Share on FacebookShare on LinkedInShare on TwitterShare on DiggShare on Stumble Upon
Custom Search
 
  

 
POWERS, ROOTS, EXPONENTS, AND RADICALS

Any number is a higher power of a given root. To raise a number to a power means to multiply, using the number as a factor as many times as the power indicates. A particular power is indicated by a small numeral called the EXPONENT; for example, the small 2 on 32 is an exponent indicating the power.

Many formulas require the power or roots of a number. When an exponent occurs, it must always be written unless its value is 1.

A particular ROOT is indicated by the radical sign , together with a small number called the INDEX of the root. The number under the radical sign is called the RADICAND. When the radical sign is used alone, it is generally understood to mean a square root, and , , and , indicate cube, fifth, and seventh roots, respec-tively. The square root of a number may be either + or . The square root of 36 may be written thus: = 6, since 36 could have been the product of ( + 6)( + 6) or ( 6)( 6). However, in practice, it is more convenient to disregard the double sign ( ). This example is what we call the root of a perfect square. Sometimes it is easier to extract part of a root only after separation of the factors of the number, such as: = = . As you can see, we were able to extract only the square root of 9, and 3 remains in the radical because it is an irrational factor. This simplification of the radical makes the solution easier because you will be dealing with perfect squares and smaller numbers.

EXAMPLES:

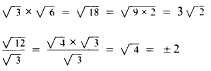
Radicals are multiplied or divided directly.

Examples:

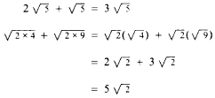
Like fractions, radicals can be added or sub-tracted only if they are similar.

Examples:

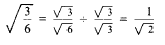
When you encounter a fraction under the radical, you have to RATIONALIZE the denominator before performing the indicated operation. If you multiply the numerator and denominator by the same number, you can extract the denominator, as indicated by the following example:

The same is true in the division of radicals; for example,

Any radical expression has a decimal equivalent, which may be exact if the radicand is a rational number. If the radicand is not rational, the root may be expressed as a decimal approximation, but it can never be exact. A procedure similar to long division may be used for calculating square root. Cube root and higher roots may be calculated by methods based on logarithms and higher mathematics. Tables of powers and roots have been calculated for use in those scientific fields in which it is frequently necessary to work with roots. Such tables may be found in appendix I of Mathematics, Vol. 1, NAVEDTRA 10069-D 1, and in Surveying Tables and Graphs, Army TM 5-236. This method is, however, slowly being phased out and being replaced by the use of hand-held scientific calculators.



Managed Security Service Provider
 


Privacy Statement - Copyright Information. - Contact Us

Integrated Publishing, Inc. - A (SDVOSB) Service Disabled Veteran Owned Small Business