Share on Google+Share on FacebookShare on LinkedInShare on TwitterShare on DiggShare on Stumble Upon
Custom Search
 
  

 
Area of Regular Polygons

Figure 1-14 is a regular polygon. In any regular polygon, the area is equal to one-half the perimeter of the polygon times the radius of the inscribed circle. This is expressed in formula form as follows:

You can verify the above formula by dividing the polygon into equal triangles with the sides as their bases and with r as their altitudes; if you multiply the areas of the individual triangles by the number of sides in the polygon, you will arrive at the above formula.

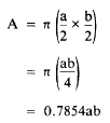
Area of an Ellipse

The derivation of an  ellipse from a conic section and methods of drawing ellipses are

Figure 1-14.-Regular polygon.

Figure 1-15.-Ellipse.

explained in chapter 3. An ellipse is shown in figure 1-15, The longer axis, AB, is called the major axis, and the shorter axis, CD, the minor axis. Call the length of the major axis a and that of the minor axis b. The area equals the product of half the major axis times half the minor axis times p. In formula form, it is stated as



Managed Security Service Provider
 


Privacy Statement - Copyright Information. - Contact Us

Integrated Publishing, Inc. - A (SDVOSB) Service Disabled Veteran Owned Small Business