Share on Google+Share on FacebookShare on LinkedInShare on TwitterShare on DiggShare on Stumble Upon
Custom Search
 
  

 

Since an object in equilibrium is considered to be in a state of balance, it can be surmised that the net force on the object is equal to zero. That is, if the vector sum of all the forces acting on an object is equal to zero, then the object is in equilibrium.

Newton's first law of motion describes equilibrium and the effect of force on a body that is in equilibrium. That law states "An object remains at rest (if originally at rest) or moves in a straight line with a constant velocity if the net force on it is zero." Newton's first law of motion is also called the law of inertia. Inertia is the tendency of a body to resist a change in its state of motion.

The first condition of equilibrium, a consequence of Newton's first law, may be written in vector form, "A body will be in translational equilibrium if and only if the vector sum of forces exerted on a body by the environment equals zero."

For example, if three forces act on a body it is necessary for the following to be true for the body to be in equilibrium.

This equation may also be written as follows.

This sum includes all forces exerted on the body by its environment. The vanishing of this vector sum is a necessary condition, called the first condition of equilibrium, that must be satisfied in order to ensure translational equilibrium. In three dimensions (x,y,z), the component equations of the first condition of equilibrium are:

This condition applies to objects in motion with constant velocity and to bodies at rest or in static equilibrium (referred to as STATICS).

Applying the knowledge that an object in equilibrium has a net force equal to zero, the following example can be solved:

Example:

The object in Figure 6 has a weight of 1251bf. The object is suspended by cables as shown. Calculate the tension (T1) in the cable at 30 with the horizontal.

Figure 6 Hanging Object

The tension in a cable is the force transmitted by the cable. The tension at any point in the cable can be measured by cutting a suitable length from it and inserting a spring scale.

Figure 7 Free-Body Diagram

Solution:

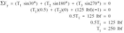
Since the object and its supporting cables are motionless (i.e., in equilibrium), we know that the net force acting on the intersection of the cables is zero. The fact that the net force is zero tells us that the sum of the x-components of TI, T2,and T3 is zero, and the sum of the y-components of TI,T2,and T3 is zero.

The tension T3 is equal to the weight of the object, 1251bf. The x and y components of the tensions can be found using trigonometry (e.g., sine function). Substituting known values into the second equation above yields the following.

A simpler method to solve this problem involves assigning a sign convention to the free-body diagram and examining the direction of the forces.

By choosing (+) as the upward direction and (-) as the downward direction, the student can determine by examination that 1) the upward component of T1 is + Tl sin 30, 2) the tension T3 is -125 lbf, and 3) T2 has no y- component. Therefore, using the same equation as before, we obtain the following.

If the sum of all forces acting upon a body is equal to zero, that body is said to be in force equilibrium. If the sum of all the forces is not equal to zero, any force or system of forces capable of balancing the system is defined as an equilibrant.

Example:

A 20001bm car is accelerating (on a frictionless surface) at a rate of 2 ft-sec. What force must be applied to the car to act as an equilibrant for this system?

Solution: a. Draw a free-body diagram.

Figure 8 Free-Body Diagram

b. A Force, F2, MUST be applied in the opposite direction to Fl such that the sum of all forces acting on the car is zero.

c. Since the car remains on the surface, forces N and W are in equal and opposite directions. Force F2 must be applied in an equal and opposite direction to F1 in order for the forces to be in equilibrium.



Managed Security Service Provider
 


Privacy Statement - Copyright Information. - Contact Us

Integrated Publishing, Inc. - A (SDVOSB) Service Disabled Veteran Owned Small Business