Share on Google+Share on FacebookShare on LinkedInShare on TwitterShare on DiggShare on Stumble Upon
Custom Search
 
  

 

The study of Newton's laws of motion allows us to understand and accurately describe the motion of objects and the forces that act on those objects.

EO 1.1 EO 1.2 EO 1.3 EO 1.4

STATE Newton's first law of motion. STATE Newton's second law of motion. STATE Newton's third law of motion. STATE Newton's law of universal gravitation.

The basis for modern mechanics was developed in the seventeenth century by Sir Isaac Newton. From his studies of objects in motion, he formulated three fundamental laws.

Newton's first law of motion states "an object remains at rest (if originally at rest) or moves in a straight line with constant velocity if the net force on it is zero."

Newton's second law states "the acceleration of a body is proportional to the net (i.e., sum or resultant) force acting on it and in the direction of that net force." This law establishes the relationship between force, mass, and acceleration and can be written mathematically as shown in Equation 3-1.

where:

This law is used to define force units and is one of the most important laws in physics. Also, Newton's first law is actually a consequence of this second law, since there is no acceleration when the force is zero, and the object is either at rest or moving with a constant velocity. Equation 3-1 can be used to calculate an objects weight at the surface of the earth. In this special case, F is the force, or weight, caused by the gravitational acceleration of the earth acting on the mass, m, of the object. When dealing with this type of problem, we designate the acceleration, g, which equals 9.8m/sec2 or 32.17 ft/sec2 (g is called gravitational acceleration constant). Thus, equation 3-1 becomes F = mg for this case.

Newton's third law of motion states "if a body exerts a force on a second body, the second body exerts an equal and opposite force on the first." This law has also been stated as, "for every action there is an equal and opposite reaction."

The third law is basic to the understanding of force. It states that forces always occur in pairs of equal and opposite forces. Thus, the downward force exerted on a desk by a pencil is accompanied by an upward force of equal magnitude exerted on the pencil by the desk. This principle holds for all forces, variable or constant, regardless of their source.

One additional law attributed to Newton concerns mutual attractive forces between two bodies. It is known as the universal law of gravitation and is stated as follows.

"Each and every mass in the universe exerts a mutual, attractive gravitational force on every other mass in the universe. For any two masses, the force is directly proportional to the product of the two masses and is inversely proportional to the square of the distance between them."

Newton expressed the universal law of gravitation using Equation 3-2.

where:

F = force of attraction (Newton = 1Kg-m/sec2 or lbf)

G = universal constant of gravitation (6.673 x 10-11 m3 /kg-sec2 or 3.44 x 10-18

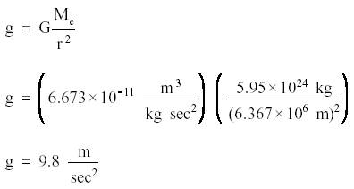
Using this universal law of gravitation, we can determine the value of g (gravitational acceleration constant), at the surface of the earth. We already know this value to be 9.8 m/sec2 (or 32.17 ft/sec2), but it can be calculated using Equation 3-2.

Calculation:

First, we will assume that the earth is much larger than the object and that the object resides on the surface of the earth; therefore, the value of r will be equal to the radius of the earth. Second, we must understand that the force of attraction (F) in Equation 3-2 for the object is equal to the object's weight (F) as described in Equation 3.1. Setting these two equations equal to each other yields the following.

where:

The mass (ml) of the object cancels, and the value of (g) can be determined as follows since a=g by substituting (g) for (a) in the previous equation.

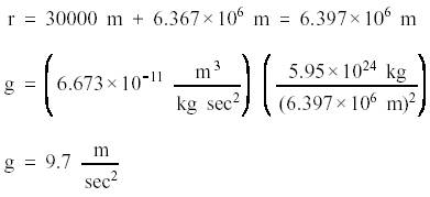
If the object is a significant distance from the earth, we can demonstrate that (g) is not a constant value but varies with the distance (altitude) from the earth. If the object is at an altitude of 30 km (18.63 mi), then the value of (g) is as follows:

As you can see, a height of 30 km only changes (g) from 9.8 m/sec2 to 9.7 m/sec2. There will be an even smaller change for objects closer to the earth. Therefore, (g) is normally considered a constant value since most calculations involve objects close to the surface of the earth.



Managed Security Service Provider
 


Privacy Statement - Copyright Information. - Contact Us

Integrated Publishing, Inc. - A (SDVOSB) Service Disabled Veteran Owned Small Business