Share on Google+Share on FacebookShare on LinkedInShare on TwitterShare on DiggShare on Stumble Upon
Custom Search
 
  

 

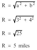
To illustrate this method, consider this example: a man walks 3 miles in one direction, then turns 90 and continues to walk for an additional 4 miles. In what direction and how far is he from his starting point? The first step in solving this problem is to draw a simple sketch as shown in Figure 24.

Figure 24 Hypotenuse and Angle

His net displacement is found using equation 2-4.

His direction (angle of displacement) is found using the tangent function.

Therefore, his new location is 5 miles at 53 from his starting point.

By carrying this approach a step further, a model has been developed for finding the resultant of several vectors. For the purpose of developing the model, consider three forces (F1, F2, and F3) acting on an object as shown in Figure 25. The goal is to find the resultant force (FR).

Figure 25 Example Model 1

Figure 26 Example Model 2

Step 1:Draw x and y coordinates and the three forces from the point of origin or the center of the object, as shown in Figure 26. Component vectors and angles have been added to the drawing to aid in the discussion.

Step 2:Resolve each vector into its rectangular components.

Step 3:Sum the x and y components.

Step 4:Calculate the magnitude of FR.

Step 5:Calculate the angle of displacement.

Here is an example using this model. Follow it through step by step.

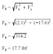
Example: Given three forces acting on an object, determine the magnitude and direction of the resultant force FR.

Step 1:First draw x and y coordinate axes on a sheet of paper. Then, draw Fl, F2, and F3 from the point of origin. It is not necessary to be totally accurate in placing the vectors in the drawing. The approximate location in the right quadrant is all that is necessary. Label the drawing as in the model (Figure 26).

Step 2:Resolve each force into its rectangular coordinates.

Step 3: Sum the x and y components.

Step 4: Calculate the magnitude of FR.

Step 5: Calculate the angle of displacement.

Therefore,

Note: A negative angle means a clockwise rotation from the zero axis.

It is left to the student to try the previous example using the other methods of vector addition described in earlier chapters.



Managed Security Service Provider
 


Privacy Statement - Copyright Information. - Contact Us

Integrated Publishing, Inc. - A (SDVOSB) Service Disabled Veteran Owned Small Business