Share on Google+Share on FacebookShare on LinkedInShare on TwitterShare on DiggShare on Stumble Upon
Custom Search
 
  

 

To add vectors using the component addition method, use the following four step method.

Step 1.Determine x- and y-axes components of all original vectors.

Step 2.Mathematically combine all x-axis components.

Note: When combining, recognize that positive x components at 180 are equivalent to negative x components at 0 (+x at 180 = -x at 0).

3. Mathematically combine all y-axis components (+y at 270 = -y at 90).

4. Resulting (x,y) components are the (x,y) components of the resulting vector.

The following examples illustrate vector addition using the component addition method.

Example 1:

Given the following vectors what are the coordinates of the resultant vector, that is, the sum of the vectors?

Step 1.Determine the x- and y-axes components of all four original vectors.

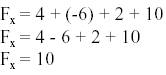
Step 2.Mathematically combine all x-axis components.

Step 3.Mathematically combine all y-axis components.

Step 4.Express the resultant vector.

The resultant components from the previous additions are the coordinates of the resultant, that is, FR = (10,8).

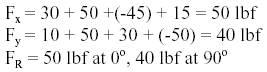
Example 2: Determine the resultant, FR.

Vectors

Follow the sequence used in the first example. Remember that x at 180 is -x at 0, and y at 270 is -y at 90.

Summary

The sequence of steps used in the component addition method of adding vectors is summarized below.

Component Addition Method Summary

Determine the x- and y- axes of all original vectors.

Mathematically combine all x-axis components.

Mathematically combine all y-axis components.

The results are the components of the resultant vector.



Managed Security Service Provider
 


Privacy Statement - Copyright Information. - Contact Us

Integrated Publishing, Inc. - A (SDVOSB) Service Disabled Veteran Owned Small Business