Share on Google+Share on FacebookShare on LinkedInShare on TwitterShare on DiggShare on Stumble Upon
Custom Search
 
  

 
Startup Rate (SUR)

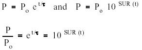
The reactor startup rate (SUR) is defined as the number of factors of ten that power changes in one minute. The units of SUR are powers of ten per minute, or decades per minute (DPM). Equation (4-10) shows the relationship between reactor power and startup rate.

where:

The relationship between reactor period and startup rate can be developed by considering Equations (4-6) and (4-10).

Changing the base of the exponential term on the right side to "e" (10 = e2.303) and solving the result yields the following.



Managed Security Service Provider
 


Privacy Statement - Copyright Information. - Contact Us

Integrated Publishing, Inc. - A (SDVOSB) Service Disabled Veteran Owned Small Business