Share on Google+Share on FacebookShare on LinkedInShare on TwitterShare on DiggShare on Stumble Upon
Custom Search
 
  

 

Xenon-135 has a tremendous impact on the operation of a nuclear reactor. It is important to understand the mechanisms that produce and remove xenon from the reactor to predict how the reactor will respond following changes in power level.

EO 4.1LIST two methods of production and two methods of removal for xenon-135 during reactor operation.

EO 4.2STATE the equation for equilibrium xenon-135 concentration.

EO 4.3DESCRIBE how equilibrium xenon-135 concentration varies with reactor power level.

EO 4.4DESCRIBE the causes and effects of a xenon oscillation.

EO 4.5DESCRIBE how xenon-135 concentration changes following a reactor shutdown from steady-state conditions.

EO 4.6EXPLAIN the effect that pre-shutdown power levels have on the xenon-135 concentration after shutdown.

EO 4.7STATE the approximate time following a reactor shutdown at which the reactor can be considered "xenon free."

EO 4.8EXPLAIN what is meant by the following terms:

a. Xenon precluded startup

b. Xenon dead time

EO 4.9DESCRIBE how xenon-135 concentration changes following an increase or a decrease in the power level of a reactor.

Fission Product Poisons

Fission fragments generated at the time of fission decay to produce a variety of fission products. Fission products are of concern in reactors primarily because they become parasitic absorbers of neutrons and result in long term sources of heat. Although several fission products have significant neutron absorption cross sections, xenon-135 and samarium-149 have the most substantial impact on reactor design and operation. Because these two fission product poisons remove neutrons from the reactor, they will have an impact on the thermal utilization factor and thus keffand reactivity.

Production and Removal of Xenon-135

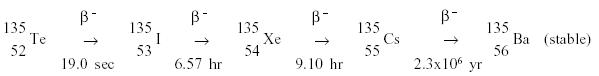
Xenon-135 has a 2.6 x 106 barns neutron absorption cross section. It is produced directly by some fissions, but is more commonly a product of the tellurium-135 decay chain shown below. The fission yield () for xenon-135 is about 0.3%, while for tellurium-135 is about 6%.

The half-life for tellurium-135 is so short compared to the other half-lives that it can be assumed that iodine-135 is produced directly from fission. Iodine-135 is not a strong neutron absorber, but decays to form the neutron poison xenon-135. Ninety-five percent of all the xenon-135 produced comes from the decay of iodine-135. Therefore, the half-life of iodine-135 plays an important role in the amount of xenon-135 present.

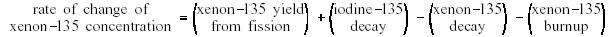
The rate of change of iodine concentration is equal to the rate of production minus the rate of removal. This can be expressed in the equation below.

or

rate of change of iodine concentration = yield from fission - decay rate - burnup rate

where:

Since the is very small, the burn up rate term may be ignored, and the expression for the rate of change of iodine concentration is modified as shown below.

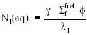
When the rate of production of iodine equals the rate of removal of iodine, equilibrium exists. The iodine concentration remains constant and is designated . The following equation for the equilibrium concentration of iodine can be determined from the preceding equation by setting the two terms equal to each other and solving for.

Since the equilibrium iodine concentration is proportional to the fission reaction rate, it is also

proportional to reactor power level.

The rate of change of the xenon concentration is equal to the rate of production minus the rate of removal. Recall that 5% of xenon comes directly from fission and 95% comes from the decay of iodine. The rate of change of xenon concentration is expressed by the following equations.

where:

The xenon burnup term above refers to neutron absorption by xenon-135 by the following reaction.

Xenon-136 is not a significant neutron absorber; therefore, the neutron absorption by xenon-135 constitutes removal of poison from the reactor. The burnup rate of xenon-135 is dependent upon the neutron flux and the xenon-135 concentration.

The equilibrium concentration of xenon-135 is designated ,and is represented as shown below.

fuel

For xenon-135 to be in equilibrium, iodine-135 must also be in equilibrium. Substituting the expression for equilibrium iodine-135 concentration into the equation for equilibrium xenon results in the following.

fuel

From this equation it can be seen that the equilibrium value for xenon-135 increases as power increases, because the numerator is proportional to the fission reaction rate. Thermal flux is also in the denominator; therefore, as the thermal flux exceeds 1012 neutrons/cm2-sec, the term begins to dominate, and at approximately 1015 neutrons/cm2-sec, the xenon-135 concentration approaches a limiting value. The equilibrium iodine-135 and xenon-135 concentrations as a function of neutron flux are illustrated in Figure 4.

Figure 4 Equilibrium Iodine-135 and Xenon-135 Concentrations Versus Neutron Flux

The higher the power level, or flux, the higher the equilibrium xenon-135 concentration, but equilibrium xenon-135 is not directly proportional to power level. For example, equilibrium xenon-135 at 25% power is more than half the value for equilibrium xenon-135 at 100% power for many reactors. Because the xenon-135 concentration directly affects the reactivity level in the reactor core, the negative reactivity due to the xenon concentrations for different power levels or conditions are frequently plotted instead of the xenon concentration.



Managed Security Service Provider
 


Privacy Statement - Copyright Information. - Contact Us

Integrated Publishing, Inc. - A (SDVOSB) Service Disabled Veteran Owned Small Business