Share on Google+Share on FacebookShare on LinkedInShare on TwitterShare on DiggShare on Stumble Upon
Custom Search
 
  

 

The most probable velocity (vp) of a thermal neutron is determined by the temperature of the medium and can be determined by Equation (2-13).

where:

Example:

Calculate the most probable velocities for neutrons in thermal equilibrium with their surroundings at the following temperatures. a) 20C, b) 260C.

Solution: a) Calculate the most probable velocity for 20C using Equation (2-13).

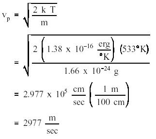
b) Calculate the most probable velocity for 260C using Equation (2-13).

From these calculations it is evident that the most probable velocity of a thermal neutron increases as temperature increases. The most probable velocity at 20C is of particular importance since reference data, such as nuclear cross sections, are tabulated for a neutron velocity of 2200 meters per second.

Summarv

The important information in this chapter is summarized below.

Neutron Flux Spectrum Summary

Prompt neutrons are born at energies between 0.1 MeV and 10 MeV. The average prompt neutron energy is about 2 MeV.

Fast reactors have a neutron energy spectrum that has the same shape as the prompt neutron energy spectrum.

Thermal reactors have a neutron energy spectrum that has two pronounced peaks, one in the thermal energy region where the neutrons are in thermal equilibrium with the core materials and another in the fast region at energies where neutrons are produced. The flux in the intermediate region (1 eV to 0.1 MeV) has a roughly 1/E dependence.

The neutron flux spectrum for the fast energy region of a thermal reactor has a shape similar to that of the spectrum of neutrons emitted by the fission process.

The reason for the 1/E flux dependence at intermediate energy levels in a thermal reactor is due to the neutrons' tendency to lose a constant fraction of energy per collision. Since the neutrons lose a greater amount at the higher energies, the neutrons tend to "pile up" at lower energies where they lose less energy per collision.

The neutron flux spectrum for the slow region of a thermal reactor contains a peak at the energy where the neutrons are in thermal equilibrium with the atoms of the surrounding material.



Managed Security Service Provider
 


Privacy Statement - Copyright Information. - Contact Us

Integrated Publishing, Inc. - A (SDVOSB) Service Disabled Veteran Owned Small Business