Share on Google+Share on FacebookShare on LinkedInShare on TwitterShare on DiggShare on Stumble Upon
Custom Search
 
  

 

In thermal reactors, the neutrons that cause fission are at a much lower energy than the energy level at which they were born from fission. In this type of reactor, specific materials must be included in the reactor design to reduce the energy level of the neutrons in an efficient manner.

EO 2.12 DEFINE the following concepts:

a. Thermalization d. Average logarithmic energy decrement

b. Moderator e. Macroscopic slowing down power

c. Moderating ratio

EO 2.13 LIST three desirable characteristics of a moderator.

EO 2.14 Given an average fractional energy loss per collision, CALCULATE the energy loss after a specified number of collisions.

Neutron Slowing Down and Thermalization

Fission neutrons are produced at an average energy level of 2 MeV and immediately begin to slow down as the result of numerous scattering reactions with a variety of target nuclei. After a number of collisions with nuclei, the speed of a neutron is reduced to such an extent that it has approximately the same average kinetic energy as the atoms (or molecules) of the medium in which the neutron is undergoing elastic scattering. This energy, which is only a small fraction of an electron volt at ordinary temperatures (0.025 eV at 20C), is frequently referred to as the thermal energy, since it depends upon the temperature. Neutrons whose energies have been reduced to values in this region (< 1 eV) are designated thermal neutrons. The process of reducing the energy of a neutron to the thermal region by elastic scattering is referred to as thermalization, slowing down, or moderation. The material used for the purpose of thermalizing neutrons is called a moderator. A good moderator reduces the speed of neutrons in a small number of collisions, but does not absorb them to any great extent. Slowing the neutrons in as few collisions as possible is desirable in order to reduce the amount of neutron leakage from the core and also to reduce the number of resonance absorptions in non-fuel materials. Neutron leakage and resonance absorption will be discussed in the next module.

The ideal moderating material (moderator) should have the following nuclear properties.

large scattering cross section

small absorption cross section

large energy loss per collision

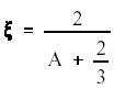
A convenient measure of energy loss per collision is the logarithmic energy decrement. The average logarithmic energy decrement is the average decrease per collision in the logarithm of the neutron energy. This quantity is represented by the symbol (Greek letter

where:

The symbol is commonly called the average logarithmic energy decrement because of the fact that a neutron loses, on the average, a fixed fraction of its energy per scattering collision. Since the fraction of energy retained by a neutron in a single elastic collision is a constant for a given material, is also a constant. Because it is a constant for each type of material and does not depend upon the initial neutron energy, is a convenient quantity for assessing the moderating ability of a material.

The values for the lighter nuclei are tabulated in a variety of sources. The following commonly used approximation may be used when a tabulated value is not available.

This approximation is relatively accurate for mass numbers (A) greater than 10, but for some low values of A it may be in error by over three percent.

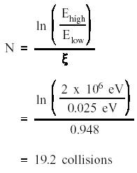
Since represents the average logarithmic energy loss per collision, the total number of collisions necessary for a neutron to lose a given amount of energy may be determined by dividing into the difference of the natural logarithms of the energy range in question. The number of collisions (N) to travel from any energy, Ehigh, to any lower energy, Elow, can be calculated as shown below.

Example:

How many collisions are required to slow a neutron from an energy of 2 MeV to a thermal energy of 0.025 eV, using water as the moderator? Water has a value of 0.948 for .

Solution:

Sometimes it is convenient, based upon information known, to work with an average fractional energy loss per collision as opposed to an average logarithmic fraction. If the initial neutron energy level and the average fractional energy loss per collision are known, the final energy level for a given number of collisions may be computed using the following formula.

where:

Example:

If the average fractional energy loss per collision in hydrogen is 0.63, what will be the energy of a 2 MeV neutron after (a) 5 collisions? (b) 10 collisions?

Solution:

a)

b)



Managed Security Service Provider
 


Privacy Statement - Copyright Information. - Contact Us

Integrated Publishing, Inc. - A (SDVOSB) Service Disabled Veteran Owned Small Business