Share on Google+Share on FacebookShare on LinkedInShare on TwitterShare on DiggShare on Stumble Upon
Custom Search
 
  

 
Free Path

If a neutron has a certain probability of undergoing a particular interaction in one centimeter of travel, then the inverse of this value describes how far the neutron will travel (in the average case) before undergoing an interaction. This average distance traveled by a neutron before interaction is known as the mean free path for that interaction and is represented by the symbol . The relationship between the mean free path () and the macroscopic cross section () is shown below.

Calculation of Macroscopic Cross Section and Mean Free Path

Most materials are composed of several elements, and because most elements are composed of several isotopes, most materials involve many cross sections, one for each isotope involved. Therefore, to include all the isotopes within a given material, it is necessary to determine the macroscopic cross section for each isotope and then sum all the individual macroscopic cross sections. Equation (2-4) can be used to determine the macroscopic cross section for a composite material.

where:

The following example problems illustrate the calculation of the macroscopic cross section for a single element and for combinations of materials.

Example 1:

Find the macroscopic thermal neutron absorption cross section for iron, which has a density of 7.86 g/cm3. The microscopic cross section for absorption of iron is 2.56 barns and the gram atomic weight is 55.847 g.

Solution:

Step 1:Using Equation (2-1), calculate the atom density of iron.

Step 2:Use this atom density in Equation (2-2) to calculate the macroscopic cross section.

 

Example 2:

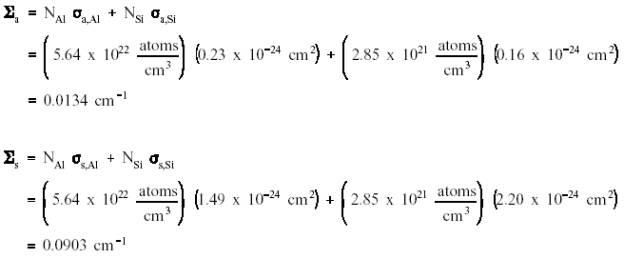
An alloy is composed of 95% aluminum and 5% silicon (by weight). The density of the alloy is 2.66 g/cm3. Properties of aluminum and silicon are shown below.

1. Calculate the atom densities for the aluminum and silicon.

2. Determine the absorption and scattering macroscopic cross sections for thermal neutrons.

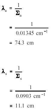
3. Calculate the mean free paths for absorption and scattering.

Solution:

Step 1:The density of the aluminum will be 95% of the total density. Using Equation (2-1) yields the atom densities.

Step 2:The macroscopic cross sections for absorption and scattering are calculated using Equation (2-4).

Step 3:The mean free paths are calculated by inserting the macroscopic cross sections calculated above into Equation (2-3).

Thus, a neutron must travel an average of 74.3 cm to interact by absorption in this alloy, but it must travel only 11.1 cm to interact by scattering.



Managed Security Service Provider
 


Privacy Statement - Copyright Information. - Contact Us

Integrated Publishing, Inc. - A (SDVOSB) Service Disabled Veteran Owned Small Business