Share on Google+Share on FacebookShare on LinkedInShare on TwitterShare on DiggShare on Stumble Upon
Custom Search
 
  

 
INTERACTIONS

Neutrons can cause many different types of interactions. The neutron may simply scatter off the nucleus in two different ways, or it may actually be absorbed into the nucleus. If a neutron is absorbed into the nucleus, it may result in the emission of a gamma ray or a subatomic particle, or it may cause the nucleus to fission.

EO 3.1DESCRIBE the following scattering interactions between a neutron and a nucleus:

a. Elastic scattering

b. Inelastic scattering

EO 3.2STATE the conservation laws that apply to an elastic collision between a neutron and a nucleus.

EO 3.3DESCRIBE the following reactions where a neutron is absorbed in a nucleus:

a. Radiative capture

b. Particle ejection

Scattering

A neutron scattering reaction occurs when a nucleus, after having been struck by a neutron, emits a single neutron. Despite the fact that the initial and final neutrons do not need to be (and often are not) the same, the net effect of the reaction is as if the projectile neutron had merely "bounced off," or scattered from, the nucleus. The two categories of scattering reactions, elastic and inelastic scattering, are described in the following paragraphs.

Elastic Scattering

In an elastic scattering reaction between a neutron and a target nucleus, there is no energy transferred into nuclear excitation. Momentum and kinetic energy of the "system" are conserved although there is usually some transfer of kinetic energy from the neutron to the target nucleus. The target nucleus gains the amount of kinetic energy that the neutron loses.

Figure 16 Elastic Scattering

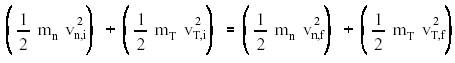
Figure 16 illustrates the process of elastic scattering of a neutron off a target nucleus. In the elastic scattering reaction, the conservation of momentum and kinetic energy is represented by the equations below.

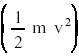
Conservation of momentum (mv)

Conservation of kinetic energy

where:

Elastic scattering of neutrons by nuclei can occur in two ways. The more unusual of the two interactions is the absorption of the neutron, forming a compound nucleus, followed by the re-emission of a neutron in such a way that the total kinetic energy is conserved and the nucleus returns to its ground state. This is known as resonance elastic scattering and is very dependent upon the initial kinetic energy possessed by the neutron. Due to formation of the compound nucleus, it is also referred to as compound elastic scattering. The second, more usual method, is termed potential elastic scattering and can be understood by visualizing the neutrons and nuclei to be much like billiard balls with impenetrable surfaces. Potential scattering takes place with incident neutrons that have an energy of up to about 1 MeV.In potential scattering, the neutron does not actually touch the nucleus and a compound nucleus is not formed. Instead, the neutron is acted on and scattered by the short range nuclear forces when it approaches close enough to the nucleus.



Managed Security Service Provider
 


Privacy Statement - Copyright Information. - Contact Us

Integrated Publishing, Inc. - A (SDVOSB) Service Disabled Veteran Owned Small Business