Share on Google+Share on FacebookShare on LinkedInShare on TwitterShare on DiggShare on Stumble Upon
Custom Search
 
  

 
Equilibrium

Radioactive equilibrium exists when a radioactive nuclide is decaying at the same rate at which it is being produced. Since the production rate and decay rate are equal, the number of atoms present remains constant over time.

An example of radioactive equilibrium is the concentration of sodium-24 in the coolant circulating through a sodium-cooled nuclear reactor. Assume that the sodium-24 is being produced at a rate of 1 x 106 atoms per second. If the sodium-24 were stable and did not decay, the amount of sodium-24 present after some period of time could be calculated by multiplying the production rate by the amount of time. Plotting the amount of material present would result in the graph in Figure 13.

However, sodium-24 is not stable, and it decays with a half-life of 14.96 hours.If no sodium-24 is present initially and production starts at a rate of 1 x 106 atoms per second, the rate of decay will initially be zero because there is no sodium-24 present to decay. The rate of decay of sodium-24 will increase as the amount of sodium-24 increases.

Figure 13 Cumulative Production of Sodium-24 Over Time

The amount of sodium-24 present will initially increase rapidly, then it will increase at a continually decreasing rate until the rate of decay is equal to the rate of production. It is possible to calculate how much sodium-24 will be present at equilibrium by setting the production rate (R) equal to the decay rate ( N).

where:

It is possible to calculate the equilibrium value for sodium-24 being produced at a rate of 1 x 106 atoms/second.

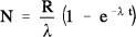
The development of the equation to calculate how the amount of sodium-24 changes over time as it approaches the equilibrium value is beyond the scope of this handbook. However, the equation is presented below.

This equation can be used to calculate the values of the amount of sodium-24 present at different times. As the time increases, the exponential term approaches zero, and the number of atoms present will approach R. A plot of the approach of sodium-24 to equilibrium is shown in Figure 14.

Figure 14 Approach of Sodium-24 to Equilibrium



Managed Security Service Provider
 


Privacy Statement - Copyright Information. - Contact Us

Integrated Publishing, Inc. - A (SDVOSB) Service Disabled Veteran Owned Small Business