Share on Google+Share on FacebookShare on LinkedInShare on TwitterShare on DiggShare on Stumble Upon
Custom Search
 
  

 
of Measurement for Radioactivity

Two common units to measure the activity of a substance are the curie (Ci) and becquerel (Bq). A curie is a unit of measure of the rate of radioactive decay equal to 3.7 x 101disintegrations per second. This is approximately equivalent to the number of disintegrations that one gram of radium-226 will undergo in one second. A becquerel is a more fundamental unit of measure of radioactive decay that is equal to 1 disintegration per second. Currently, the curie is more widely used in the United States, but usage of the becquerel can be expected to broaden as the metric system slowly comes into wider use. The conversion between curies and becquerels is shown below.

1 curie = 3.7 x 1010becquerels

Variation of Radioactivitv Over Time

The rate at which a given radionuclide sample decays is stated in Equation (1-3) as being equal to the product of the number of atoms and the decay constant. From this basic relationship it is possible to use calculus to derive an expression which can be used to calculate how the number of atoms present will change over time. The derivation is beyond the scope of this text, but Equation (1-4) is the useful result.

(1-4)

Since the activity and the number of atoms are always proportional, they may be used interchangeably to describe any given radionuclide population. Therefore, the following is true.

where:

Radioactive Half-Life

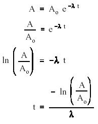
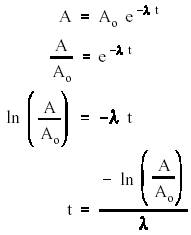
One of the most useful terms for estimating how quickly a nuclide will decay is the radioactive half-life. The radioactive half-life is defined as the amount of time required for the activity to decrease to one-half of its original value. A relationship between the half-life and decay constant can be developed from Equation (1-5). The half-life can be calculated by solving Equation (1-5) for the time, t, when the current activity, A, equals one-half the initial activity Ao.

First, solve Equation (1-5) for t.

In

If A is equal to one-half of Ao, then A/Ao is equal to one-half. Substituting this in the equation above yields an expression for t1/2.

(1-6)

The basic features of decay of a radionuclide sample are shown by the graph in Figure 10.

Figure 10 Radioactive Decay as a Function of Time in Units of Half-Life

Assuming an initial number of atoms No, the population, and consequently, the activity may be noted to decrease by one-half of this value in a time of one half-life. Additional decreases occur so that whenever one half-life elapses, the number of atoms drops to one-half of what its value was at the beginning of that time interval. After five half-lives have elapsed, only 1/32, or 3.1%, of the original number of atoms remains. After seven half-lives, only 1/128, or 0.78%, of the atoms remains. The number of atoms existing after 5 to 7 half-lives can usually be assumed to be negligible. The Chemistry Fundamentals Handbook contains additional information on calculating the number of atoms contained within a sample.

Example:

A sample of material contains 20 micrograms of californium-252.

Californium-252 has a half-life of 2.638 years.

Calculate:

(a) The number of californium-252 atoms initially present

(b) The activity of the californium-252 in curies

(c) The number of californium-252 atoms that will remain in 12 years

(d) The time it will take for the activity to reach 0.001 curies

Solution:

(a) The number of atoms of californium-252 can be determined as below.

(b) First, use Equation (1-6) to calculate the decay constant.

Use this value for the decay constant in Equation (1-3) to determine the activity.

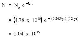
(c) The number of californium atoms that will remain in 12 years can be calculated from Equation (1-4).

(d) The time that it will take for the activity to reach 0.001 Ci can be determined from Equation (1-5). First, solve Equation (1-5) for time.

Inserting the appropriate values in the right side of this equation will result in the required time.



Managed Security Service Provider
 


Privacy Statement - Copyright Information. - Contact Us

Integrated Publishing, Inc. - A (SDVOSB) Service Disabled Veteran Owned Small Business