Share on Google+Share on FacebookShare on LinkedInShare on TwitterShare on DiggShare on Stumble Upon
Custom Search
 
  

 

The separate laws of Conservation of Mass and Conservation of Energy are not applied strictly on the nuclear level. It is possible to convert between mass and energy. Instead of two separate conservation laws, a single conservation law states that the sum of mass and energy is conserved. Mass does not magically appear and disappear at random. A decrease in mass will be accompanied by a corresponding increase in energy and vice versa.

EO 1.7DEFINE the following terms:

a. Mass defect

b. Binding energy

EO 1.8Given the atomic mass for a nuclide and the atomic masses of a neutron, proton, and electron, CALCULATE the mass defect and binding energy of the nuclide.

Mass Defect

Careful measurements have shown that the mass of a particular atom is always slightly less than the sum of the masses of the individual neutrons, protons, and electrons of which the atom consists. The difference between the mass of the atom and the sum of the masses of its parts is called the mass defect (). The mass defect can be calculated using Equation (1-1). In calculating the mass defect it is important to use the full accuracy of mass measurements because the difference in mass is small compared to the mass of the atom. Rounding off the masses of atoms and particles to three or four significant digits prior to the calculation will result in a calculated mass defect of zero.

where:

Example:

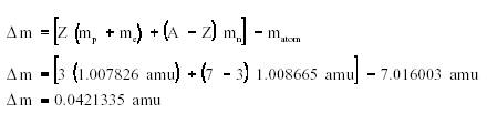
Calculate the mass defect for lithium-7. The mass of lithium-7 is 7.016003 amu.

Solution:



Managed Security Service Provider
 


Privacy Statement - Copyright Information. - Contact Us

Integrated Publishing, Inc. - A (SDVOSB) Service Disabled Veteran Owned Small Business