Share on Google+Share on FacebookShare on LinkedInShare on TwitterShare on DiggShare on Stumble Upon
Custom Search
 
  

 

Division is the process of determining how many times one number is contained in another number. When numbers are divided, the result is the quotient and a remainder. The remainder is what remains after division. The number divided by another number is called the dividend; the number divided into the dividend is called the divisor. Division is indicated by any of the following:

Thus, the relationship between the dividend, divisor, and quotient is as shown below:

Unlike multiplication, the division process is neither associative nor commutative. The commutative law for multiplication permitted reversing the order of the factors without changing the product. In division the dividend and divisor cannot be reversed.

Using the equation form:

For example, the quotient of 186 is not the same as the quotient of 618. 18 divided by 6 equals 3:6 divided by 18 equals 0.33.

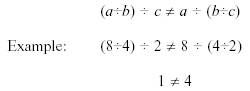
The associative law for multiplication permitted multiplication of factors in any order. In division, this is not allowed.

When dividing two numbers, the divisor and dividend are lined up horizontally with the divisor to the left of the dividend. Division starts from the left of the dividend and the quotient is written on a line above the dividend.

Example 1:

Starting from the left of the dividend, the divisor is divided into the first digit or set of digits it divides into. In this case, 5 is divided into 34; the result is 6, which is placed above the 4.

This result (6) is then multiplied by the divisor, and the product is subtracted from the set of digits in the dividend first selected. 6 x 5 equals 30; 30 subtracted from 34 equals 4.

The next digit to the right in the dividend is then brought down, and the divisor is divided into this number. In this case, the 7 is brought down, and 5 is divided into 47; the result is 9, which is placed above the 7.

Again, this result is multiplied by the divisor, and the product is subtracted from the last number used for division. 9 x 5 equals 45; 45 subtracted from 47 equals 2. This process is repeated until all of the digits in the dividend have been brought down. In this case, there are no more digits in the dividend. The result of the last subtraction is the remainder. The number placed above the dividend is the quotient. In this case, 347

5 yields a quotient of 69 with a remainder of 2.

Division can be verified by multiplying the quotient by the divisor and adding the remainder. The result should be the dividend. Using Example 3, multiply 228 by 28 to check the quotient.



Managed Security Service Provider
 


Privacy Statement - Copyright Information. - Contact Us

Integrated Publishing, Inc. - A (SDVOSB) Service Disabled Veteran Owned Small Business