Share on Google+Share on FacebookShare on LinkedInShare on TwitterShare on DiggShare on Stumble Upon
Custom Search
 
  

 

The Pythagorean theorem is a tool that can be used to solve for unknown values on right triangles. In order to use the Pythagorean theorem, a term must be defined. The term hypotenuse is used to describe the side of a right triangle opposite the right angle. Line segment C is the hypotenuse of the triangle in Figure 1.

Figure 1 Triangle

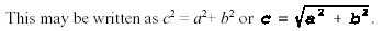
The Pythagorean theorem states that in any right triangle, the square of the length of the hypotenuse equals the sum of the squares of the lengths of the other two sides.

Example:

The two legs of a right triangle are 5 ft and 12 ft. How long is the hypotenuse? Let the hypotenuse be c ft.

Using the Pythagorean theorem, one can determine the value of the unknown side of a right triangle when given the value of the other two sides.

Example:

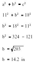
Given that the hypotenuse of a right triangle is 18" and the length of one side is 11", what is the length of the other side?

Summary

The important information in this chapter is summarized below.

Pythagorean Theorem Summary

The Pythagorean theorem states that in any right triangle, the square of the length of the hypotenuse equals the sum of the squares of the lengths of the other two sides.



Managed Security Service Provider
 


Privacy Statement - Copyright Information. - Contact Us

Integrated Publishing, Inc. - A (SDVOSB) Service Disabled Veteran Owned Small Business