Share on Google+Share on FacebookShare on LinkedInShare on TwitterShare on DiggShare on Stumble Upon
Custom Search
 
  

 
Steps for Solving Algebraic Word Problems

Algebraic word problems can involve any number of unknowns, and they can require any number of equations to solve. However, regardless of the number of unknowns or equations involved, the basic approach to solving these problems is the same. First, condense the available information into algebraic equations, and, second, solve the equations. The most straightforward type of algebraic word problems are those that require only one equation to solve. These problems are solved using five basic steps.

Step 1.Let some letter, such as x, represent one of the unknowns.

Step 2.Express the other unknowns in terms of x using the information given in the problem.

Step 3.Write an equation that says in symbols exactly what the problem says in words.

Step 4.Solve the equation.

Step 5.Check the answer to see that it satisfies the conditions stated in the problem.

Example 1:

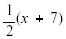
What are the capacities of two water storage tanks in a nuclear facility if one holds 9 gallons less than three times the other, and their total capacity is 63 gallons?

Solution:

Step 1.Let x = Capacity of the Smaller Tank

Step 2.Then, 3x - 9 = Capacity of the Larger Tank

Step 3.Total Capacity = Capacity of the Smaller Tank + Capacity of the Larger Tank

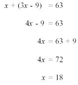
63 = x + (3x - 9)

Step 4.Solving for x:

Solving for the other unknown:

Answer: Capacity of the Smaller Tank = 18 gallons Capacity of the Larger Tank = 45 gallons

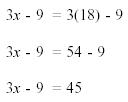
Step 5.The larger tank holds 9 gallons less than three times the smaller tank.

3(18)-9=54-9=45

The total capacity of the two tanks is 63 gallons.

18+45=63

Thus, the answers check.

Example 2:

A utility has three nuclear facilities that supply a total of 600 megawatts (Mw) of electricity to a particular area. The largest facility has a total electrical output three times that of the smallest facility. The third facility has an output that is 50 Mw more than half that of the largest facility. What is the electrical output of each of the three facilities?

Solution:

Step 1.Let x = Electrical Output of the Smallest Facility.

Step 2.Then,

3x = Electrical Output of the Largest Facility,

and,

= Electrical Output of the Third Facility.

Step 3.Total Electrical Output = Sum of the Electrical Outputs of the Three Facilities.

Step 4.Solving for x:

Solving for the other unknowns:

Answers:

Electrical Output of the Smallest Facility = 100 Mw

Electrical Output of the Largest Facility = 300 Mw

Electrical Output of the Third Facility = 200 Mw

Step 5.The largest facility has a total electrical output three times that of the smallest facility.

3(100) = 300

The other facility has an output which is 50 Mw more than half that of the largest facility.

The total output of the three facilities is 600 Mw.

100 + 200 + 300 = 600

Thus, the answers check.

Example 3:

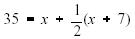
The winning team in a football game scored 7 points less than twice the score of the losing team. If the total score of both teams was 35 points, what was the final score?

Solution:

Step 1.Let x = Winning Team's Score

Step 2.Then, = Losing Team's Score

Step 3.Total Score = Winning Team's Score + Losing Team's Score

Step 4. Solving for x:

Solving for the other unknowns:

Answers:

Winning Team's Score = 21 points

Losing Team's Score = 14 points

Step 5. The winning team's score is 7 points less than twice the score of the losing team.

2(14) - 7 = 28 - 7 = 21 points

The total score of both teams is 35 points.

21 + 14 = 35 points

Thus, the answers check.

Example 4:

A man is 21 years older than his son. Five years ago he was four times as old as his son. How old is each now?

Solution:

Step 1. Let x = Son's Age Now

Step 2. Then,

x + 21 = Father's Age Now

x - 5 = Son's Age Five Years Ago

(x + 21) - 5 = Father's Age Five Years Ago

Step 3. Five years ago the father was four times as old as his son.

(x+21)-5=4(x-5)

Step 4. (x+21)-5 = 4(x-5)

x+16 =4x-20

x-4x =-20- 16

-3x = -36

x = 12 years

Solving for the other unknowns:

x+21 = 12+21 x + 21 = 33 years

Answers:

Son's Age Now = 12 years

Father's Age Now = 33 years

Step 5. The man is 21 years older than his son.

12+21=33 years

Five years ago he was four times as old as his son.

33-5=28=4(12-5)=4x7

Thus, the answers check.



Managed Security Service Provider
 


Privacy Statement - Copyright Information. - Contact Us

Integrated Publishing, Inc. - A (SDVOSB) Service Disabled Veteran Owned Small Business