|
Scientific Notation to Integers Often,
numbers in scientific notation need to be put in integer form.
To
convert scientific notation to integers:
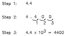
Step
1:Write decimal number.
Step
2:Move the decimal the number of places
specified by the power of ten: to the right if positive, to the left if
negative. Add zeros if necessary.
Step 3:Rewrite the
number in integer form.
Example:
Convert 4.4 x 103 to integer form.
Solution:

Addition
In order to add two or more numbers using scientific
notation, the following three steps must be used.
Step 1:Change all
addends to have the same power of ten by moving the decimal point (that is,
change all lower powers of ten to the highest power).
Step 2:Add the
decimal numbers of the addends and keep the common power of ten.
Step 3:If necessary,
rewrite the decimal with a single number to the left of the decimal point.
For example, for 3.5 x 103 + 5 x 102
you are asked to add 3.5 thousands to 5 hundreds. Converting 3.5 thousands to
35 hundreds ( 3.5 x 103 = 35 x 102) we obtain 35 hundreds
+ 5 hundreds = 40 hundreds or 3.5 x 103 = 35 x 102 + 5 x
102 = 4 x 103. The student should do the same problem by
converting the 5 x 102 to thousands and then adding.
Example:

Solution:


Subtraction
In
order to subtract two numbers in scientific notation, the steps listed below
must be followed.
Step
1:As in addition, change all addends to
have the same power of ten.
Step
2:Subtract one digit from the other and
keep the power of ten.
Step
3:If necessary, rewrite the decimal with
a single number to the left of the decimal point.
Example:

Solution:

|