Share on Google+Share on FacebookShare on LinkedInShare on TwitterShare on DiggShare on Stumble Upon
Custom Search
 
  

 

Multiplication of signed numbers may be performed by using the following rules: The product of any two numbers with like signs is positive:

(+)(+) = (+) or (-)(-) = (+).

The product of any two numbers with unlike signs is negative:

(+) (-) = (-) or (-) (+) = (-).

The product is negative if there is an odd number of negatives. The product is positive if there is an even number of negatives.

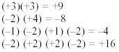
Example:

Zero times any number equals zero.

Multiplying by -1 is the equivalent of changing the sign.

Division

Division of signed numbers may be performed using the following rules:

Rule 1: The quotient of any two numbers with like signs is positive:

(+)/(+) = (+) or (-)/(-) = (+)

Rule 2: The quotient of any two numbers with unlike signs is negative:

(+)/(-) = (-) or (-)/(+) = (-)

Rule 3: Zero divided by any number not equal to zero is zero.

Examples:

Summary

The important information from this chapter is summarized below.

Signed Numbers Summary When using signed numbers:

Adding a negative number is the same as subtracting a positive number. Subtracting a negative number is the same as adding a positive number. A product is negative if there is an odd number of negatives.

A product is positive if there is an even number of negatives. Division of two numbers with like signs results in a positive answer. Division of two numbers with unlike signs results in a negative answer.



Managed Security Service Provider
 


Privacy Statement - Copyright Information. - Contact Us

Integrated Publishing, Inc. - A (SDVOSB) Service Disabled Veteran Owned Small Business