Share on Google+Share on FacebookShare on LinkedInShare on TwitterShare on DiggShare on Stumble Upon
Custom Search
 
  

 

This chapter covers the processes of addition, subtraction, multiplication, and division of numbers in decimal form.

EO 1.5

APPLY one of the arithmetic operations of addition, subtraction, multiplication, and division of fractions by conversion to decimal form using a calculator.

EO 1.6

APPLY one of the arithmetic operations of addition, subtraction, multiplication, and division using decimals.

When using numbers, the operator will use whole numbers at times and decimal numbers at other times. A decimal number is a number that is given in decimal form, such as 15.25. The decimal portion is equivalent to a certain "fraction-of-one," thus allowing values between integer numbers to be expressed.

A decimal is a linear array of integers that represents a fraction. Every decimal place indicates a multiple of a power of 10.

Example:

Fraction to Decimal Conversion

In the process of converting a fraction to a decimal, we must perform the operation of division that the fraction represents.

Example:

Convert to a decimal.

Solution:

The fraction represents 3 divided by 4. To put this into decimal form, we first divide 3 by 4. Add a decimal point and zeros to carry out this division.

In the above example we see that no matter how many zeros we add, there will always be a remainder of 1. This is called a repeating decimal. A repeating decimal is indicated by a dash over the last number to the right of the decimal point. So, = 0.337 . The bar is placed over the repeating portion. For a repeating single digit, the bar is placed over only a single digit. For a repeating sequence of digits, the bar is placed over the whole sequence of digits.

Decimal to Fraction Conversion

The process of decimal to fraction conversion involves the use of the fundamental rule of fractions; the fraction should be written in its lowest terms. The following examples demonstrate how to convert decimals to fractions.

Example 1:

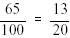
Convert 0.65 to a fraction.

Solution:

Step 1:Note the number of place positions to the right of the decimal point. In this example, 0.65 is 65 hundredths, which is two places to the right of the decimal point.

Step 2:Although we have now converted the decimal into a fraction, the fraction is not in its lowest terms. To reduce the new fraction into its lowest or simplest terms, both the numerator and the denominator must be broken down into primes.

Note that we can cancel one set of 5s, because = 1.

This gives

and this is the simplest form of this fraction. Example 2:

Convert 18.82 to a mixed number.

Solution:

Example 3:

Convert 1.73 to a fraction. Solution:

Example 4:

Convert 0.333 to a fraction. Solution:

Step 2:There are no common factors between 333 and 1000, so it is already in its simplest form.



Managed Security Service Provider
 


Privacy Statement - Copyright Information. - Contact Us

Integrated Publishing, Inc. - A (SDVOSB) Service Disabled Veteran Owned Small Business