Share on Google+Share on FacebookShare on LinkedInShare on TwitterShare on DiggShare on Stumble Upon
Custom Search
 
  

 

Concerns

Many compatibility concerns can be raised for tritium/material interactions.

The mechanical integrity of the material

The escape rate of tritium into and through the material

Contamination of tritium by the material and vice versa

Gettering capabilities of a substance for tritium

Mechanical integrity is a function of how well the material dissipates the energy of colliding beta particles and how well it excludes tritium from its bulk. Cross-contamination occurs when materials contain hydrogen or carbon in their bulk or at their surface or when the materials absorb a significant amount of tritium.

Gettering capabilities are largely a function of alloy overpressure. The process of gettering is the removal of gases by sorption; either adsorption, absorption, or chemisorption. In absorption the atoms of the gas dissolve between the atoms of the alloy. In adsorption and chemisorption, the molecules of the gas adhere to the surface of the alloy. The difference between adsorption and chemisorption is the type and strength of bonds that hold the molecules to the surface.

Compatibility

Because of its radioactive, chemically-reducing, and diffusive properties, tritium gas interacts with almost all materials. Tritium gas permeates and degrades many useful polymeric materials (for example, organics such as pump oils, plastics, and 0-rings). This action causes a loss of mechanical properties within months or years.

Tritium gas diffuses through glass, especially at elevated temperatures. The beta rays activate the reduction of Si-O-Si bonds to Si-OT and Si-T bonds, and mechanical properties may be lost over a period of years.

Some metals, such as uranium, are directly hydrided by tritium gas. These metals form a chemical compound and their mechanical properties are altered within minutes or hours. However, some metals, such as stainless steels, are permeated by tritium, but do not lose their mechanical properties unless the tritium pressure is hundreds of atmospheres for several years.

Solubility in Metals

Hydrogen dissolves as atoms in metals. These atoms occupy octahedral and tetrahedral locations within the lattice. The hydrogen apparently exists within nonhydriding metal lattices as proton, deuteron, or triton, with the electron in a metal conduction band. Some metals are endothermic (chemical change due to absorption of heat) hydrogen absorbers and others are exothermic (chemical change that releases heat), and solubilities vary considerably (approximately 10 to 15 orders of magnitude) at room temperature.

The solubility of hydrogen in endothermic absorbers increases as the temperature increases. The reverse is true for exothermic absorbers and the solubility decreases as the temperature increases. For various hydride phases, plots of decomposition overpressure as a function of inverse temperature yield negative enthalpies or heats of formation.

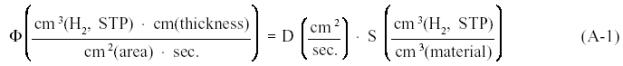
Permeability

Permeability () of gas (including H2 or T2 through materials is a measure of how much gas will migrate across a material wall of given thickness and area over a given time. It is a direct function of the ability to diffuse and solubility. Dimensionally,

where:

The following materials are listed in order of increasing permeability: ceramics and graphite, silicas, nonhydriding metals, hydriding metals, and polymers. The permeability of many other hydrogen-bearing molecules through polymers has been studied. For such molecules, permeability can be well in excess of that for hydrogen through a polymer. This must be considered when handling tritiated water or organic solvents.

Two factors that influence the permeability of a metal are oxides on surface and surface area. Because the permeability of hydrogen through a metal oxide at a given temperature is usually orders of magnitude lower than it is through the metal, a thin surface oxide can markedly reduce the permeability of hydrogen through the material.

For example, if LiD salt is placed in contact with the surface of a stainless steel specimen, the oxide is reduced, allowing increased permeation. If a metal undergoes surface oxidation in the presence of steam, permeability decreases as oxidation proceeds.

 



Managed Security Service Provider
 


Privacy Statement - Copyright Information. - Contact Us

Integrated Publishing, Inc. - A (SDVOSB) Service Disabled Veteran Owned Small Business