Share on Google+Share on FacebookShare on LinkedInShare on TwitterShare on DiggShare on Stumble Upon
Custom Search
 
  

 

Young's Modulus (sometimes referred to as Modulus of Elasticity, meaning "measure" of elasticity) is an extremely important characteristic of a material. It is the numerical evaluation of Hooke's Law, namely the ratio of stress to strain (the measure of resistance to elastic deformation). To calculate Young's Modulus, stress (at any point) below the proportional limit is divided by corresponding strain. It can also be calculated as the slope of the straight-line portion of the stress-strain curve. (The positioning on a stress-strain curve will be discussed later.)

or

We can now see that Young's Modulus may be easily calculated, provided that the stress and corresponding unit elongation or strain have been determined by a tensile test as described previously. Strain (c) is a number representing a ratio of two lengths; therefore, we can conclude that the Young's Modulus is measured in the same units as stress (6), that is, in pounds per square inch. Table 1 gives average values of the Modulus E for several metals used in DOE facilities construction. Yield strength and ultimate strength will be discussed in more detail in the next chapter.

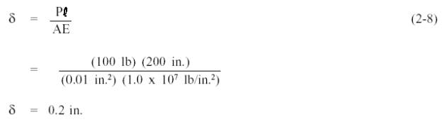
Example:

What is the elongation of 200 in. of aluminum wire with a 0.01 square in. area if it supports a weight of 100 lb?

Solution:

Summary

The important information in this chapter is summarized below.

Young's Modulus Summary

Hooke's Law states that in the elastic range of a material strain is proportional to stress. It is measured by using the following equation:

Young's Modulus (Elastic Modulus) is the ratio of stress to strain, or the gradient of the stress-strain graph. It is measured using the following equation:

 



Managed Security Service Provider
 


Privacy Statement - Copyright Information. - Contact Us

Integrated Publishing, Inc. - A (SDVOSB) Service Disabled Veteran Owned Small Business