Share on Google+Share on FacebookShare on LinkedInShare on TwitterShare on DiggShare on Stumble Upon
Custom Search
 
  

 
Force

Magnetomotive force (mmf) is the strength of a magnetic field in a coil of wire.This is dependent on how much current flows in the turns of coil: the more current, the stronger the magnetic field; the more turns of wire, the more concentrated the lines of force. The current times the number of turns of the coil is expressed in units called "ampere-turns" (At), also known as mmf. Equation (1-13) is the mathematical representation for ampere-turns (At).

where

Example: Calculate the ampere-turns for a coil with 1000 turns and a 5 mA current.

N = 1000 turns and I = 5 mA

substitute

N = 1000 turns and I = 5 x 10-3

NI = 1000 (5 x 10-3) = 5 At

Field Intensity

When a coil with a certain number of ampere-turns is stretched to twice its length, the magnetic field intensity, or the concentration of its magnetic lines of force, will be half as great. Therefore, field intensity depends on the length of the coil. Equation (1-14) is the mathematical representation for field intensity, which is related to magnetomotive force as shown.

where

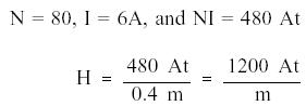
Example 1: Find field intensity of an 80 turn, 20 cm coil, with 6A of current.

Solution:

Example 2: If the same coil in Example 1 were to be stretched to 40 cm with wire length and current remaining the same, find the new value of field intensity.

Solution:

Example 3: The 20 cm coil used in Example 1 with the same current is now wound around an iron core 40 cm in length. Find the field intensity.

Solution:

Note that field intensity for Examples 2 and 3 is the same.

Figure 25 Different Physical Forms of Electromagnets

Reluctance

Opposition to the production of flux in a material is called reluctance, which corresponds to resistance. The symbol for reluctance is R, and it has the units of ampere-turns per weber (At/wb).

Reluctance is related to magnetomotive force, mmf, and flux, , by the relationship shown in equation (1-15).

Reluctance is inversely proportional to permeability (p). Iron cores have high permeability and, therefore, low reluctance. Air has a low permeability and, therefore, a high reluctance.

Generally, different types of materials have different values of reluctance (Figure 25). Air gap is the air space between two poles of a magnet. Since air has a very high reluctance, the size of the air gap affects the value of reluctance: the shorter the air gap, the stronger the field in the gap. Air is nonmagnetic and will not concentrate magnetic lines. The larger air gap only provides space for the magnetic lines to spread out.

 



Managed Security Service Provider
 


Privacy Statement - Copyright Information. - Contact Us

Integrated Publishing, Inc. - A (SDVOSB) Service Disabled Veteran Owned Small Business