Share on Google+Share on FacebookShare on LinkedInShare on TwitterShare on DiggShare on Stumble Upon
Custom Search
 
  

 
Flux

The group of magnetic field lines emitted outward from the north pole of a magnet is called magnetic flux. The symbol for magnetic flux is ( (phi).

The SI unit of magnetic flux is the weber (Wb). One weber is equal to 1 x 108, magnetic field lines.

Example: If a magnetic flux () has 5,000 lines, find the number of webers.

Magnetic Flux Density

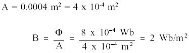
Magnetic flux density is the amount of magnetic flux per unit area of a section, perpendicular to the direction of flux. Equation (1-11) is the mathematical representation of magnetic flux density.

where

The result is that the SI unit for flux density is webers per square meter One weber per square meter equals one tesla.

Example: Find the flux density in teslas, when the flux is 800 Wb and the area is 0.004 m2.

 



Managed Security Service Provider
 


Privacy Statement - Copyright Information. - Contact Us

Integrated Publishing, Inc. - A (SDVOSB) Service Disabled Veteran Owned Small Business