Share on Google+Share on FacebookShare on LinkedInShare on TwitterShare on DiggShare on Stumble Upon
Custom Search
 
  

 
Connection

In the delta connection, all three phases are connected in series to form a closed loop (Figure 3).

Figure 3 Delta Connection

Wve Connection

In the wye connection, three common ends of each phase are connected together at a common terminal (marked "N" for neutral), and the other three ends are connected to a three-phase line (Figure 4).

Figure 4 Wye Connection

Combinations of Delta and Wve Transformer Connections

A three-phase transformer may have three separate but identical single-phase (10) transformers or a single 3 unit containing three-phase windings. The transformer windings may be connected to form a 3 bank in any of four different ways (Figure 5).

Figure 5 30 Transformer Connections

Figure 5 shows the voltages and currents in terms of applied line voltage (V) and line current (1), where the turns ratio (a) is equal to one. Voltage and current ratings of the individual transformers depend on the connections (Figure 5) and are indicated by Table 1 for convenience of calculations.

Example 1: If line voltage is 440 V to a 3 transformer bank, find the voltage across each primary winding for all four types of transformer connections.

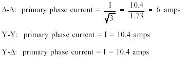
Example 2: If line current is 10.4 A in a 3 transformer connection, find the primary phase current.

Example 3: Find the secondary line current and phase current for each type of transformer connection, if primary line current is 20 amps, and the turns ratio is 4:1.

 



Managed Security Service Provider
 


Privacy Statement - Copyright Information. - Contact Us

Integrated Publishing, Inc. - A (SDVOSB) Service Disabled Veteran Owned Small Business