Share on Google+Share on FacebookShare on LinkedInShare on TwitterShare on DiggShare on Stumble Upon
Custom Search
 
  

 

Voltage, electromotive force (emf), or potential difference, is described as the pressure or force that causes electrons to move in a conductor. In electrical formulas and equations, you will see voltage symbolized with a capital E, while on laboratory equipment or schematic diagrams, the voltage is often represented with a capital V.

Current

Electron current, or amperage, is described as the movement of free electrons through a conductor. In electrical formulas, current is symbolized with a capital I, while in the laboratory or on schematic diagrams, it is common to use a capital A to indicate amps or amperage (amps).

Resistance

Now that we have discussed the concepts of voltage and current, we are ready to discuss a third key concept called resistance. Resistance is defined as the opposition to current flow. The amount of opposition to current flow produced by a material depends upon the amount of available free electrons it contains and the types of obstacles the electrons encounter as they attempt to move through the material. Resistance is measured in ohms and is represented by the symbol (R) in equations. One ohm is defined as that amount of resistance that will limit the current in a conductor to one ampere when the potential difference (voltage) applied to the conductor is one volt. The shorthand notation for ohm is the Greek letter capital omega (S2). If a voltage is applied to a conductor, current flows. The amount of current flow depends upon the resistance of the conductor. The lower the resistance, the higher the current flow for a given amount of voltage. The higher the resistance, the lower the current flow.

Ohm's Law

In 1827, George Simon Ohm discovered that there was a definite relationship between voltage, current, and resistance in an electrical circuit. Ohm's Law defines this relationship and can be stated in three ways.

1. Applied voltage equals circuit current times the circuit resistance. Equation (1-2) is a mathematical respresentation of this concept.

2. Current is equal to the applied voltage divided by the circuit resistance. Equation (1-3) is a mathematical representation of this concept.

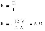
3. Resistance of a circuit is equal to the applied voltage divided by the circuit current.

Equation (1-4) is a mathematical representation of this concept.

where

If any two of the component values are known, the third can be calculated. Example 1: Given that I = 2 A, E = 12 V, find the circuit resistance. Solution:

Since applied voltage and circuit current are known, use Ohm's Law to solve for resistance.

Example 2: Given E = 260 V and R = 240 , what current will flow through a circuit? Solution:

Since applied voltage and resistance are known, use Ohm's Law to solve for current.

Example 3: Find the applied voltage, when given circuit resistance of 100 92 and circuit current of 0.5 amps.

Solution:

Since circuit resistance and circuit current are known, use Ohm's Law to solve for applied voltage.

 



Managed Security Service Provider
 


Privacy Statement - Copyright Information. - Contact Us

Integrated Publishing, Inc. - A (SDVOSB) Service Disabled Veteran Owned Small Business