Share on Google+Share on FacebookShare on LinkedInShare on TwitterShare on DiggShare on Stumble Upon
Custom Search
 
  

 
src="./electrical%20science2_files/image902.jpg"> Loads

Balanced loads, in a 3system, have identical impedance in each secondary winding (Figure 12). The impedance of each winding in a delta load is shown as Z (Figure 12a), and the impedence in a wye load is shown as Zy (Figure 12b). For either the delta or wye connection, the lines A, B, and C supply a 3system of voltages.

Figure 12 3Balanced Loads

In a balanced delta load, the line voltage (VL) is equal to the phase voltage , and the line current (IL) is equal to the square root of three times the phase current . Equation (9-5) is a mathematical representation of VL in a balanced delta load. Equation (9-6) is a mathematical representation of IL in a balanced delta load.

In a balanced wye load, the line voltage (VL) is equal to the square root of three times phase

voltage, and line current (IL) is equal to the phase current . Equation (9-7) is a mathematical representation of VL in a balanced wye load. Equation (9-8) is a mathematical representation of IL in a balanced wye load.

Because the impedance of each phase of a balanced delta or wye load has equal current, phase power is one third of the total power. Equation (9-10) is the mathematical representation for phase power in a balanced delta or wye load.

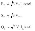
Total power (PT) is equal to three times the single-phase power. Equation (9-11) is the mathematical representation for total power in a balanced delta or wye load.

In a delta-connected load, so:

In a wye-connected load, so:

As you can see, the total power formulas for delta- and wye-connected loads are identical.

Total apparent power (ST) in volt-amperes and total reactive power (QT) in volt-amperes-reactive are related to total real power (PT) in watts (Figure 13).

A balanced three-phase load has the real, apparent, and reactive powers given by:

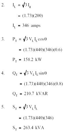
Example 1: Each phase of a deltaconnected 3 AC generator supplies a full load current of 200 A at 440 volts with a 0.6 lagging power factor, as shown in Figure 14.

Find:

1. VL

2. IL

3. PT

4. QT

5. ST

Figure 14 Three-Phase Delta Generator

Solution:

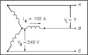
Example 2: Each phase of a wyeconnected 3 AC generator supplies a 100 A current at a phase voltage of 240V and a power factor of 0.9 lagging, as shown in Figure 15.

Find:

1. VL

2. PT

3. QT

4. ST

Figure 15 Three-Phase Wye Generator

Unbalanced 3 Loads

An important property of a three-phase balanced system is that the phasor sum of the three line or phase voltages is zero, and the phasor sum of the three line or phase currents is zero. When the three load impedances are not equal to one another, the phasor sums and the neutral current (In) are not zero, and the load is, therefore, unbalanced. The imbalance occurs when an open or short circuit appears at the load.

If a three-phase system has an unbalanced load and an unbalanced power source, the methods of fixing the system are complex. Therefore, we will only consider an unbalanced load with a balanced power source.

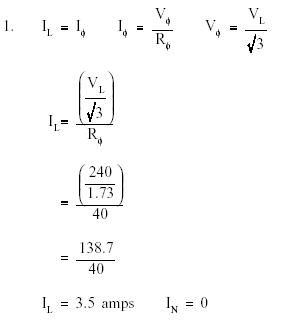
Example: A 3 balanced system, as shown in Figure 16a, contains a wye load. The line-to- line voltage is 240V, and the resistance is 40 in each branch.

Figure 16 3 Unbalanced Load

Find line current and neutral current for the following load conditions.

1. balanced load

2. open circuit phase A (Figure 16b)

3. short circuit in phase A (Figure 16c)

2. Current flow in lines B and C becomes the resultant of the loads in B and C connected in series.

The current in Phase A is equal to the neutral line current, IA = IN.Therefore, is the phasor sum of IB and Ic.

In a fault condition, the neutral connection in a wye-connected load will carry more current than the phase under a balanced load. Unbalanced three-phase circuits are indicated by abnormally high currents in one or more of the phases. This may cause damage to equipment if the imbalance is allowed to continue.

Summary

Three-phase circuits are summarized below.

Three-Phase Circuits Summary

Three-phase power systems are used in the industry because:

Three-phase circuits weigh less than single-phase circuits of the same power rating.

They have a wide range of voltages and can be used for single-phase loads.

Three-phase equipment is smaller in size, weighs less, and is more efficient than single-phase equipment.

Unbalanced three-phase circuits are indicated by abnormally high currents in one or more of the phases.

 



Managed Security Service Provider
 


Privacy Statement - Copyright Information. - Contact Us

Integrated Publishing, Inc. - A (SDVOSB) Service Disabled Veteran Owned Small Business