Share on Google+Share on FacebookShare on LinkedInShare on TwitterShare on DiggShare on Stumble Upon
Custom Search
 
  

 
Reactance

Capacitive reactance is the opposition by a capacitor or a capacitive circuit to the flow of current. The current flowing in a capacitive circuit is directly proportional to the capacitance and to the rate at which the applied voltage is changing. The rate at which the applied voltage is changing is determined by the frequency of the supply; therefore, if the frequency of the capacitance of a given circuit is increased, the current flow will increase. It can also be said that if the frequency or capacitance is increased, the opposition to current flow decreases; therefore, capacitive reactance, which is the opposition to current flow, is inversely proportional to frequency and capacitance. Capacitive reactance Xc, is measured in ohms, as is inductive reactance. Equation (8-3) is a mathematical representation for capacitive reactance.

where

Equation (8-4) is the mathematical representation of capacitive reactance when capacitance is expressed in microfarads (F).

Equation (8-5) is the mathematical representation for the current that flows in a circuit with only capacitive reactance.

where

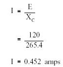
Example: A l0F capacitor is connected to a 120V, 60Hz power source (see Figure 4). Find the capacitive reactance and the current flowing in the circuit. Draw the phasor diagram.

Figure 4 Circuit and Phasor Diagram

Solution:

2. Current flowing in the circuit

3. Phasor diagram showing current leading voltage by 90 is drawn in Figure 4b. Summary

Capacitive reactance is summarized below.

Capacitive Reactance Summary

Opposition to the flow of alternating current caused by capacitance is called capacitive reactance (Xc).

The formula for calculating Xc is:

Current (I) leads applied voltage by 90 in a purely capacitive circuit.

The phasor diagram shows the applied voltage (E) vector leading (below) the current (I) vector by the amount of the phase angle differential due to the relationship between voltage and current in a capacitive circuit.

 



Managed Security Service Provider
 


Privacy Statement - Copyright Information. - Contact Us

Integrated Publishing, Inc. - A (SDVOSB) Service Disabled Veteran Owned Small Business