Share on Google+Share on FacebookShare on LinkedInShare on TwitterShare on DiggShare on Stumble Upon
Custom Search
 
  

 

The fewer the contaminants in water, the less corrosion takes place. The methods of water treatment have been explored previously. This chapter discusses how water purity is quantified. Measuring the purity helps to keep treatment effective.

EO1.10 LIST the maximum conductivity and approximate concentration of electrolyte for each level of purity for makeup water.

Water Purity

The water used in a nuclear facility must be of a purity level that is consistent with the overall objectives of chemistry control in the facility.

There are a number of ways in which pure water is obtained, including distillation systems and pretreatment systems similar to those mentioned earlier in this module. Regardless of the method employed, the required purity must be achieved.

Water purity has been defined in many different ways, but one generally accepted definition states that high purity water is water that has been distilled and/or de-ionized so that it will have a specific resistance of 500,000 ohms (2.0 micromhos conductivity) or greater. This definition is satisfactory as a base to work from, but for more critical requirements, the breakdown shown in Table 3 has been suggested to express degrees of purity.

Conductivity is a measure of the ease with which electricity can be passed through a substance. The presence of ions greatly facilitates the passage of an electric current. Pure water is only slightly ionized by the dissociation of water: . At 25C, the concentration of the hydrogen and hydroxyl ions is moles/liter.

The equivalent conductance of hydrogen (H) is

and the equivalent conductance of OH is

A mho is a measure of the ease with which electric current will pass and is the inverse of an ohm, the measure of resistance to the passage of electric current. Conductance and conductivity are similar qualities (conductivity is measured in pmhos/cm, so conductance must be converted to conductivity). A mho is one millionth of a mho. The total conductivity of pure water can be calculated by adding the equivalent conductances of H and OH, multiplying by the normality (see Module 1 for definition), and then multiplying by 10-3 l/cm 3 and

106 pmhos/mho. For theoretically pure water this becomes the following.

The conductivity limit for demineralized water is 1 pmho/cm.

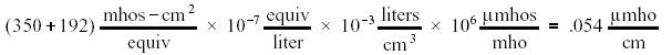
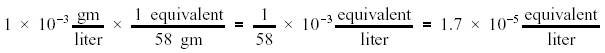
Conductivity will very quickly indicate the presence of any ionic impurities, even if the impurity concentration is extremely small. As an example, suppose 1.0 mg of NaCl impurity were deposited in 1 liter of demineralized water. The normality of this solution would be as follows.

The equivalent conductance of Na+ is 51 , while the equivalent conductance of equivalent

. The conductivity of the solution is equivalent

which is well above the limit. Even extremely low concentrations of ionic impurities can easily be detected. The most probable cause is a depleted or damaged resin bed that is no longer capable of removing ionic contaminants. The depleted bed should be removed from service, and a fresh resin bed placed in service.

For most applications in nuclear facilities, the specification that is identified as Very Pure (1.0 mho/cm maximum conductivity) is used. Ultra Pure demineralized water is normally only required in laboratory situations and is mentioned for information purposes only.

 



Managed Security Service Provider
 


Privacy Statement - Copyright Information. - Contact Us

Integrated Publishing, Inc. - A (SDVOSB) Service Disabled Veteran Owned Small Business