Share on Google+Share on FacebookShare on LinkedInShare on TwitterShare on DiggShare on Stumble Upon
Custom Search
 
  

 

As reactor coolant water passes through the core region of an operating reactor, it is exposed to intense radiation. The major components of the radiation field are neutrons, protons, gamma rays, and high energy electrons (beta particles). These types of radiation interact with the coolant water primarily by an ionization process and have a marked effect on the water itself and on the chemical reactions between substances dissolved in the water. This section discusses these effects, and in particular the effects that involve gases dissolved in reactor coolant.

The interaction of radiation with matter produces ion pairs. Usually, the negative member of the ion pair is a free electron and the positive member is a polyatomic cation, the exact nature of which depends on the particular substance being irradiated. For example, the interaction of radiation with water is illustrated by the following reaction.

Both of these species are very reactive chemically, and there are several reaction pathways available to each. Some of these mechanisms are very complex and are usually of little practical value to the reactor operator, who is more concerned with the overall, observable effects. In the case of water, the overall effect of irradiation is shown in the following reaction.

Because this result is not at all apparent from Reaction (3-1), the following section describes the intermediate processes in some detail. This discussion is presented only to illustrate the types of reaction mechanisms that occur in irradiated solutions. Subsequent discussions primarily involve only the overall effects of these processes.

Reaction (3-1) shows that irradiation of pure water produces an electron and a H20+ ion. As stated, both species are highly reactive. The H20+ ion rapidly reacts with a water molecule as follows.

The species OH is an uncharged hydroxyl group. Neutral groups such as this, in which all chemical bonding capacity is not satisfied, are common intermediate species in chemical reactions and are called radicals or sometimes free radicals.

The electron produced by Reaction (3-1) first forms a species called the hydrated electron, denoted by eaq . The hydrated electron may be thought of as resulting from the interaction of a negative electron with the positive end of a polar water molecule. This is analogous to the formation of hydronium ions by interaction of a positive proton (H+) with the negative end of a water molecule. Because the water molecules associated with hydrated electrons do not participate in subsequent chemical reactions, they are not shown in chemical equations, and the hydrated electron (eaq) is used instead.

Hydrated electrons may interact with H30+ ions in solution or with water molecules. Both reactions produce another reactive species, atomic hydrogen.

or

Reaction (3-4) usually predominates.

Because Reactions (3-4) and (3-5) are slow compared to that in Reaction (3-3), there are three reactive species present at any one time: hydroxyl radicals (OH), hydrated electrons (eaq-), and hydrogen atoms (H). These species may undergo any of several possible reactions such as the following.

Hydrogen peroxide, formed by Reaction (3-6), may also react with the original reactive species, but at high temperatures H202 is unstable, and the predominant reaction is decomposition.

To illustrate the overall result of these reactions, let us assume that each of the reactive species produced by successive steps in the irradiation of water reacts in only one way. That is, whenever several reactions of a particular substance are possible, assume that one predominates to such an extent that the others are negligible. The following set of reactions is one possibility. In some cases, entire reactions are multiplied by a factor to allow cancellation of terms when the reactions are summed.

The net result of these reactions is simply the decomposition of water. If HZ and OZ are allowed to escape from solution as gases, the reaction continues as written. If, however, the water is contained in a closed system under pressure (as in a reactor coolant system), H2 and O2 are confined, and an equilibrium state is reached because radiation also causes the reverse of Reaction (3-2) to take place. Primarily neutron and gamma radiation induce both the decomposition of water and the recombination of H2 and O2 to form water. Thus, it is appropriate to write Reaction (3-2) as a radiation-induced equilibrium reaction.

To arrive at the overall effect of radiation on water, the above process involved the assumption that only one reaction pathway is available to each reactive species. This was done primarily for convenience because inclusion of every possible reaction in the summation process becomes rather cumbersome. Even if all the reactions are taken into account, the net result is the same as Reaction (3-12), which is reasonable because inspection of Reactions (3-3) through (3-11) shows that the only stable products are H2, 02, and H2O (H30+ and OH- combine to form water, and H2O2 decomposes at high temperature). Perhaps not as obvious, more water is consumed than is produced in these reactions, and the net result is the initial decomposition of water that proceeds until equilibrium concentrations of HZ and O2 are established.

Before discussing the effects of radiation on other processes, chemical equilibrium in the presence of ionizing radiation should be mentioned. Equilibrium processes in aqueous solutions are discussed briefly in Module 1, which states that temperature influences the equilibrium. Ionizing radiation also influences the equilibrium of these solutions.

Radiation has an effect on the equilibrium in the case of water. In the absence of radiation, water does not spontaneously decompose at 500F and the equilibrium lies far to the right.

When irradiated, however, water does decompose, as shown above. Also, H2 and O2 do not normally react at 500F because a large activation energy is required to make the reaction occur. Radiation, in effect, supplies this activation energy, and the reaction takes place readily. Thus, radiation increases the rates of both forward and reverse reactions, although not by the same factor.

In general, the effect of radiation on the equilibrium for a given reaction cannot be predicted quantitatively. The situation is further complicated by the observation that the effect on the equilibrium may vary with the intensity of the radiation. In nuclear facilities, the effect may vary with the power level of the facility. In most cases, this complication is not a severe problem because the direction of the effect is the same; only the degree or magnitude of the effect varies with the intensity of the radiation.

As noted several times previously, reactor coolant is maintained at a basic pH (in facilities other than those with aluminum components or those that use chemical shim reactivity control) to reduce corrosion processes. It is also important to exclude dissolved oxygen from reactor coolant for the same reason. As shown in the preceding section, however, a natural consequence of exposing pure water to ionizing radiation is production of both hydrogen and oxygen. The addition of a base to control pH has essentially no effect on this feature.

To prevent the formation of oxygen in reactor coolant, hydrogen is added. Hydrogen suppresses the formation of oxygen primarily by its effect on the reactions that OH radicals, produced by Reaction (3-3), undergo. In the presence of excess hydrogen, hydroxyl radicals react predominantly by Reaction (3-10) rather than as in Reactions (3-6) through (3-8).

Hydrogen atoms from this equation subsequently react to form HZ and H2O by Reactions (3-7), (3-8), and (3-9). None of these reactions leads to 02, or H2O2, which decomposes to form OZ and H2O at high temperatures. Thus, the addition of HZ to reactor coolant largely eliminates production of free oxygen.

Another way of viewing the effect of hydrogen on reactor coolant is through its effect on the equilibrium of the reaction.

By LeChatelier's principle, the addition of excess hydrogen forces the equilibrium to the left, which requires that OZ be consumed. If the dissolved hydrogen concentration is sufficiently large, only a very small amount of oxygen will be present at equilibrium. Normally, therefore, reactor coolant contains excess dissolved hydrogen, and there is no significant net decomposition of water by radiation.

Reactor coolant makeup water usually contains a small amount of air, which is composed primarily of nitrogen and oxygen in a volume ratio of 4:1 (80 percent nitrogen, 20 percent oxygen). These gases undergo radiation-induced reactions. The reactions are the same as those that occur in certain accident situations and are included in the following discussion.

In addition to the small amount of air normally dissolved in makeup water, there is a small possibility that air may be accidentally injected directly into the reactor coolant system.

Whenever air enters the reactor coolant system, and the reactor is operating, the most immediate reaction involves oxygen from the air and hydrogen, which is normally present in the coolant.

That is, the addition of O2 disturbs the above equilibrium and causes the equilibrium to shift to the right, consuming both H2 and O2. The concentration of hydrogen normally maintained in reactor coolant is such that small amounts of oxygen will be rapidly consumed before any excess oxygen can cause severe corrosion problems to occur.

Reaction (3-13) also consumes oxygen added to the reactor coolant as a natural consequence of air dissolved in makeup water. Other than initial fill of the reactor coolant system, the situations that require the largest amounts of makeup water are feed and bleed operations to correct an abnormal chemistry parameter or cooldown after some period of reactor operation. In this case, gamma radiation from the decay of fission products in the reactor core continues to induce the HZ - Oz reaction for some period after shutdown. During initial fill and long shutdown periods, chemicals other than hydrogen (e.g. hydrazine) may be added to reactor coolant to remove any dissolved oxygen.

After essentially all of the oxygen has been consumed by reaction with hydrogen, the nitrogen contained in air will remain. For small air additions, some hydrogen will also remain; thus, the reactor coolant will contain both dissolved hydrogen and dissolved nitrogen. These two gases do not react in an unirradiated solution at low temperature and pressure. When exposed to radiation, however, the gases do react by the following reaction.

Again, this is an equilibrium reaction, and radiation induces the reaction in both directions. Ammonia (NH3) produced by this reaction combines with water to form ammonium hydroxide (NHa0H).

Under the operating conditions of reactor coolant, Reaction (3-14) is far from complete. In most cases, less than about 10 percent of the nitrogen will be converted to ammonia. If no additional base were added to reactor coolant, Reaction (3-14) would be sufficient to cause the coolant to be mildly basic, pH 9. In the presence of added base, however, the reaction has only a very slight and negligible effect on pH.

If the base NH3 were used to control reactor coolant pH, the reverse of Reaction (3-14) would be more important. The reverse step of this reaction requires that some of the ammonia added to the coolant decompose into N2 and H2. Because operating conditions favor this step of the equilibrium, rather than formation of NH3, it would be expected that most of the ammonia added would decompose. However, the rate of the ammonia decomposition reaction is slow, and the pH of reactor coolant can be maintained in the required range. It should also be noted that the decomposition of NH3 would produce hydrogen gas in significant concentrations in reactor coolant (sufficient to satisfy normal H2 requirements).

In the event that a large quantity of air is injected into the reactor coolant system, the inventory of dissolved hydrogen would be rapidly depleted by Reaction (3-13). If the amount of air injected is sufficiently large, there could be oxygen remaining in the coolant after depletion of the hydrogen. In this case, another reaction is available to the oxygen and nitrogen in the air.

Nitric acid (HN03) produced by this reaction will neutralize any base contained in the coolant, and if sufficient acid is produced, the coolant will acquire an acidic pH.

Normally, the amount of hydrogen maintained in the reactor coolant, in conjunction with other precautions employed, greatly reduces the probability that the amount of oxygen entering the coolant will be sufficient to lead to Reaction (3-16). If a large amount of air were accidentally added to the reactor coolant, one solution would be to add more hydrogen. The added hydrogen would react with remaining oxygen, disrupting the equilibrium of Reaction (3-16) causing the reverse step of that reaction to occur. When all the oxygen has been removed, HZ and NZ could react by Reaction (3-14) and help reestablish a basic pH. The relationship between these reactions and pH following the initial oxygen addition, and a subsequent hydrogen addition, is illustrated in Figure 1.

Figure I Change in pH, Gas Concentration, and Nitrogen Compounds With Excess Oxygen Added

In the preceding discussion, the reactions possible after the addition of air to reactor coolant containing hydrogen were described. These are Reactions (3-13), (3-14), and (3-16). The relative rates of these reactions are of considerable importance. Briefly, Reaction (3-13) is much more rapid than either of the others, and Reaction (3-16) is faster than Reaction (3-14). Thus, the sequence of reactions is as described in the preceding sections. H2 and O2 react to form water. If hydrogen remains, it undergoes an incomplete reaction with N2 to form small amounts of NH3. If O2 remains after all the H2 has been consumed, the O2 N2 reaction produces nitric acid.

The flux of neutrons and protons in a nuclear reactor core region leads to several important nuclear reactions with the constituent atoms of water. Most of these reactions involve oxygen isotopes and fast neutrons or protons.

In many cases, the absorption of a fast neutron by a nucleus is immediately followed by ejection of a proton. These reactions are called neutron-proton or n-p reactions and are commonly written (using the 16Oreaction to illustrate) in the following manner.

In this notation, the original isotope that undergoes the reaction is written first, the product isotope is last, and the two are separated by, in order, the particle absorbed and the particle emitted. The isotope decays to with a 7.13-second half-life by emitting a beta particle () and a high-energy gamma ray (6 Mev predominantly).

Oxygen-17 undergoes a similar reaction.

The isotope decays by emission of a beta particle, a neutron, and a gamma ray.

Reactions (3-17) and (3-18) have no significant chemical effect on reactor coolant because of the relatively small number of atoms that undergo these reactions. They are of considerable importance, however, because the radioactive species and are carried outside the core region by the flow of reactor coolant. The neutrons and high-energy gamma rays emitted by these isotopes easily penetrate the piping and components that contain the coolant and are important considerations in the design of shielding for nuclear facilities. Because the half-lives of these isotopes are very short, they decay to low levels very rapidly after shutdown and are, therefore, of little concern during such periods.

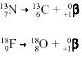
Two other nuclear reactions with oxygen isotopes are shown below.

An ejected alpha particle is indicated by . The protons that cause these reactions result from inelastic collisions of fast neutrons with hydrogen atoms in water molecules. The radioactivity levels of these isotopes are much lower than the levels of 16N and 17N during reactor facility operation. However, during the period from a few minutes to about five hours after reactor shutdown or after removing a coolant sample from the system, 13Nand 19F are the principal sources of radioactivity in the reactor coolant of most reactor facilities.

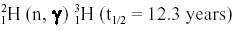
The only significant nuclear reaction that occurs with hydrogen involves deuterium (2 H), which comprises about 0.015 percent of natural hydrogen.

Tritium decays by emission of a very weak particle (0.02 Mev) and no gamma rays. Thus, tritium is not a radiological hazard unless it enters the body in significant amounts. Tritium can enter the body through inhalation or ingestion. It is also possible to absorb forms of tritium through the skin.

 



Managed Security Service Provider
 


Privacy Statement - Copyright Information. - Contact Us

Integrated Publishing, Inc. - A (SDVOSB) Service Disabled Veteran Owned Small Business