Share on Google+Share on FacebookShare on LinkedInShare on TwitterShare on DiggShare on Stumble Upon
Custom Search
 
  

 
 

Substances that form ions when they are dissolved in water are called electrolytes. The three types of electrolytes are acids, bases, and salts.

Acids are substances that dissociate in water to produce hydrogen (H+). An example of a common acid is sulfuric acid, H2SO4- In solution, H2S04 dissociates to form hydrogen and sulfate ions according to the following equation. The designation in parenthesis in the following formulas indicate the state of the reactants and the products, i.e., liquid (aq). solid (s), or gas (g).

Additional examples of acids are vinegar, aspirin, and lemon juice. These substances share the following common properties.

1.Acid solutions taste sour (acid means "sour" in Latin).

2.Acids react with many metals to form hydrogen gas.

3.Acids turn litmus paper red.

4.Acid solutions conduct electricity.

5.Acids react with bases to form a salt and water. Example:

6.Acids react with carbonates to form C02 (carbon dioxide gas).

Example:

Bases

Bases are substances that produce hydroxide ions (OH-) in water solutions. An example of a common base is sodium hydroxide, NaOH. In solution, it dissociates to form sodium ions and hydroxide ions according to the following equation:

Common types of bases are lye, household ammonia, and most soaps. The following are four characteristic properties of bases.

1.Basic solutions taste bitter and feel slippery to the touch.

2.Bases turn litmus paper blue.

3.Basic solutions conduct electricity.

4.Bases neutralize acids. Example:

<%CUT%>

Salts

When an acid reacts with a base, two products are formed; water and a salt. A salt is an ionic compound composed of positive ions and negative ions. The ionic bond is what keeps salts in their molecular form. Some compounds look like salts, but are actually covalent compounds (have a covalent bond).

Example:

This type of acid-base reaction is called neutralization.

Certain soluble salts (principally sodium, potassium, magnesium, and calcium) that have the property of combining with acids to form neutral salts are called alkalies. Two of the common salts are sodium chloride (table salt) and calcium chloride (salt put on the road in winter). Unlike acids and bases, salts vary greatly in all their properties except their ionic characteristics. Salts may taste salty, sour, bitter, astringent, sweet, or tasteless. Solutions of salts may be acidic, basic, or neutral to acid-base indicators. Fused salts and aqueous solutions of salts conduct an electric current. The reactions of salts are numerous and varied.

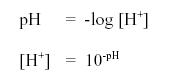
Many compounds dissolve in water and alter the hydrogen ion concentration. Compounds that produce hydrogen ions directly when dissolved in water are called acids, and those that produce hydroxyl ions directly when dissolved in water are called bases. To treat these aspects of chemistry more precisely, a quantitative system of expressing acidity or basicity (alkalinity) is needed. This need could be met by using the value of [H+], where [H+] is expressed in moles/liter, as a measure of acidity. But, in most cases [H+] is in the range of -10 to 10-14 moles/liter. Because numbers of this magnitude are inconvenient to work with, an alternate system for expressing the acidity of dilute solutions has been devised. This system is based on a quantity called pH.ph is defined as the negative logarithm of the hydrogen concentration, represented as [H+] in moles/liter.

The negative logarithm is specified because the logarithm of any number less than 1 is negative; thus multiplication by -1 causes the values of pH to be positive over the range in which we are interested. (The term pH was first defined by a Danish chemist and is derived from p for the Danish word potenz (power) and H for hydrogen.)

Example 1: The hydrogen concentration, [H+], of a solution is 4.8 x 10-8 moles/liter. What is the pH of the solution?

Solution 1:

Example 2: The pH of a solution is 3.83. What is the hydrogen concentration of the solution?

Solution 2:

pOH

It is also important to understand the relationship between the [H+] and the [OH ] concentrations. The pOH of a solution is defined as the negative logarithm of the hydroxyl concentration, represented as [OH-] in moles/liter.

For water solutions, the product of the hydrogen ion concentration and the hydroxyl concentration is always 1 x 10-14 at 25oC. This means that the sum of pH and pOH is equal to 14 under these conditions.

The following example illustrates this point.

Example: What is the hydrogen ion concentration [H+] and the hydroxyl concentration [OH-] in a solution with a pH of 5.5?

Solution:

 



Managed Security Service Provider
 


Privacy Statement - Copyright Information. - Contact Us

Integrated Publishing, Inc. - A (SDVOSB) Service Disabled Veteran Owned Small Business