Order this information in Print

Order this information on CD-ROM

Download in PDF Format

     

Click here to make tpub.com your Home Page

Page Title: REEVING TACKLE
Back | Up | Next

tpub.com Updates

Google


Web
www.tpub.com

Home

   
Information Categories
.... Administration
Advancement
Aerographer
Automotive
Aviation
Combat
Construction
Diving
Draftsman
Engineering
Electronics
Food and Cooking
Math
Medical
Music
Nuclear Fundamentals
Photography
Religion
USMC
   
Products
  Educational CD-ROM's
Printed Manuals
Downloadable Books
   

 

REEVING TACKLE

In reeving a simple tackle, lay the blocks a few feet apart. The blocks should be placed down with the sheaves at right angles to each other and the becket ends pointing toward each other.

To begin reeving, lead the standing part of the falls through one sheave of the block that has the greatest number of sheaves. If both blocks have the same number of sheaves, begin at the block fitted with the becket. Then, pass the standing part around the sheaves from one block to the other, making sure no lines are crossed, until all sheaves have a line passing over them. Now, secure the standing part of the falls at the becket of the block containing the least number of sheaves, using a becket hitch for a temporary securing or an eye splice for a permanent securing.

With blocks of more than two sheaves, the standing part of the falls should be led through the sheave nearest the center of the block. This method places the strain on the center of the block and prevents the block from toppling and the lines from being cut by rubbing against the edges of the block.

Falls are generally reeved through 8- or 10-inch wood or metal blocks in such a reamer as to have the lower block at right angles to the upper block. Two, three-sheave blocks are the usual arrangement, and the method of reeving these is shown in figure 4-31. The hauling part must go through the middle sheave of the upper block, or the block will tilt to the side and the falls jam when a strain is taken.

If a three- and two-sheave block rig is used, the method of reeving is about the same (figure 4-32), but, in this case, the becket for the dead end must be on the lower, rather than the upper, block.

Naturally, you must reeve the blocks before you splice in the becket thimble, or you will have to reeve the entire fall through from the opposite end.

SAFE WORKING LOAD OF A TACKLE

You know that the force applied at the hauling part of a tackle is multiplied as many times as there

Figure 4-31.-Reeving a threefold purchase.

are parts of the fall on the movable block. Also, an allowance for friction must be made, which adds roughly 10 percent to the weight to be lifted for every sheave in the system. For example, if you are lifting a weight of 100 pounds with a tackle containing five sheaves, you must add 10 percent times 5, or 50 percent, of 100 pounds to the weight in your calculations. In other words, you determine that this tackle is going to lift 150 pounds instead of 100 pounds.

Disregarding friction, the safe working load of a tackle should be equal to the safe working load of the line or wire used, multiplied by the number of parts of the fall on the movable block. To make the necessary

Figure 4-32.-Reeving a double-luff tackle.

allowance for friction, you multiply this result by 10, and then divide what you get by 10 plus the number of sheaves in the system.

Suppose you have a threefold purchase, a mechanical advantage of 6, reeved with a line that has a safe working load of 2 tons. Disregarding friction, 6 times 2, or 12 tons, should be the safe working load of this setup. To make the necessary allowance for friction, however, you first multiply 12 by 10, which gives you 120. This you divide by 10 plus 6 (number of sheaves in a threefold purchase), or 16. The answer is 7 1/2 tons safe working load.

Lifting a Given Weight

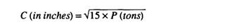
To find the size of fiber line required to lift a given load, use this formula:

C in the formula is the circumference, in inches, of the line that is safe to use. The number 15 is the conversion factor. P is the weight of the given load expressed in tons. The radical sign, or symbol, over 15 x P indicates that you are to find the square root of that product.

To square a number means to multiply that number by itself. Finding the square root of a number simply means finding the number that, multiplied by itself, gives the number whose square root you are seeking. Most pocket calculators today have the square root function. Now, let's determine what size fiber line you need to hoist a 5-ton load. First, circumference equals 15 times five, or C = 15 x 5, or 75. Next, the number that multiplied by itself comes nearest to 75 is 8.6, Therefore, a fiber line 8 1/2 inches in circumference will do the job.

The formula for finding the size of wire rope required to lift a given load is: C (in inches) = 2.5 x P (tons). You work this formula in the same manner explained above for fiber line. One point you should be careful not to overlook is that these formulas call for the circumference of the wire. You are used to talking about wire rope in terms of its diameter, so remember that circumference is about three times the diameter, roughly speaking. You can also determine circumference by the following formula, which is more accurate than the rule of thumb: circumference equals diameter times pi (71). In using this formula, remember that 7c equals approximately 3.14.

Size of Line to Use in a Tackle

To find the size of line to use in a tackle for a given load, add one-tenth (10 percent for friction) of its value to the weight to be hoisted for every sheave in the system. Divide the result you get by the number of parts of the fall at the movable block, and use this result as P in the formula

C= 4-15 x P

For example, let's say you are trying to find the size of fiber line to reeve in a threefold block to lift 10 tons. There are six sheaves in a threefold block. Ten tons plus one-tenth for each of the six sheaves (a total of 6 tons) gives you a theoretical weight of 16 tons to be lifted. Divide 16 tons by 6 (number of parts on the movable block in a threefold block), and you get about 2 2/3. Using this as P in the formula you get

The square root of 40 is about 6.3, so it will take a line of about 6 1/2 inches in this purchase to hoist 10 tons safely. As you seldom find three-sheave blocks that will take a line as large as 6 1/2 inches, you will probably have to rig two threefold blocks with a continuous fall, as shown in figure 4-33. Each of

Figure 4-33.-Rigging two tackles with continuous fall.

these will have half of the load. To find the size of the line to use, calculate what size fiber line in a threefold block will lift 5 tons. It works out to about 4 1/2 inches.

Privacy Statement - Press Release - Copyright Information. - Contact Us - Support Integrated Publishing

Integrated Publishing, Inc. - A (SDVOSB) Service Disabled Veteran Owned Small Business