Share on Google+Share on FacebookShare on LinkedInShare on TwitterShare on DiggShare on Stumble Upon
Custom Search
 
  

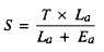
TORQUING COMPUTATION

When you are using a drive-end extension, the torque wrench reading must be computed using the following formula:


where:

S = handle setting or reading

T = torque applied at end of adapter

La = length of handle in inches

Ea = length of extension in inches

If you desire to exert 100 inch-pounds at the end of the wrench and extension, when La equals 12 inches and Ea equals 6 inches, it is possible to determine the handle setting by making the following calculation:




S = 66.7 inchpounds

Whenever possible, attach the extension in line with the torque wrench. When it is necessary to attach the extension at any angle to the torque wrench, the effective length of the assembly will be La + Ea, as shown in figure 3-12. In this instance, length Eb must be substituted for length Ea in the formula.

NOTE: It is not advisable to use a handle extension on a flexible beam-type torque wrench at any time. The use of a drive-end extension on any type of torque wrench makes use of the formula necessary. When the formula has been used, force must be applied to the handle of the torque wrench at the point from which the measurements were taken. If this is not done, the torque obtained will be in error.

LUBRICATION

Learning Objective: Recognize different types of lubricants, methods of application, and use of lubrication charts.

Perhaps the only connection you have had with lubrication was taking the car to the garage for greasing and oil change. If your car ever burned out a bearing, you have learned the importance of lubricants, The proper lubrication of high-speed aircraft is very important. You should be familiar with the various types of lubricants, their specific use, and the method and frequency of application.

Lubricants are used to reduce friction, to cool, to prevent wear, and to protect metallic parts against corrosion. In the aircraft, lubrication is necessary to minimize friction between moving parts. Only the presence of a layer or film of lubricant between metal surfaces keeps the metals from touching. As a result, friction is reduced between moving parts. Prolonged operating life is ensured when the lubricant keeps metal surfaces from direct contact with each other. If the film disappears, you end up with burned out or frozen bearings, scored cylinder walls, leaky packings, and a host of other troubles. Appropriate use of proper lubricants minimizes possible damage to equipment.



Managed Security Service Provider
 


Privacy Statement - Copyright Information. - Contact Us

Integrated Publishing, Inc. - A (SDVOSB) Service Disabled Veteran Owned Small Business