calculus. We will assume we have a particular function of x, such that If x is assigned the value 10, the corresponding value of y will be (10)2 or 100. Now, if we increase the value of x by 2, making it 12, we may call this increase of 2 an increment or x. This results in an increase in the value of y, and we may call this increase an increment or y. From this we write"> Increments and Differentiation

Share on Google+Share on FacebookShare on LinkedInShare on TwitterShare on DiggShare on Stumble Upon
Custom Search
 
  

INCREMENTS AND DIFFERENTIATION

In this section we will extend our discussion of limits and examine the idea of the derivative, the basis of differential calculus. We will assume we have a particular function of x, such that

If x is assigned the value 10, the corresponding value of y will be (10)2 or 100. Now, if we increase the value of x by 2, making it 12, we may call this increase of 2 an increment or x. This results in an increase in the value of y, and we may call this increase an increment or y. From this we write

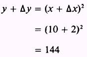
As x increases from 10 to 12, y increases from 100 to 144 so that

and

We are interested in the ratio because the limit of this ratio as x approaches zero is the derivative of

y = f(X)

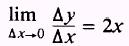
As you recall from the discussion of limits, as x is made smaller, y gets smaller also. For our problem, the ratio approaches 20. This is shown in table 4-1.

Table 4-l.-Slope Values

We may use a much simpler way to find that the limit of as x approaches zero is, in this case, equal to 20. We have two equations

and

By expanding the first equation so that

and subtracting the second from this, we have

Dividing both sides of the equation by x gives

Now, taking the limit as x approaches zero, gives

Thus,

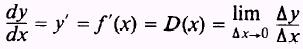
NOTE: Equation (1) is one way of expressing the derivative of y with respect to x. Other ways are

Equation (1) has the advantage that it is exact and true for all values of x. Thus if

x=10

then

and if

x=3

then

This method for obtaining the derivative of y with respect to x is general and may be formulated as follows:

1. Set up the function of x as a function of (x + x) and expand this function.

2. Subtract the original function of x from the new function of (x + x).

3. Divide both sides of the equation by x.

4.Take the limit of all the terms in the equation as x approaches zero. The resulting equation is the derivative of f(x) with respect to x.





Privacy Statement - Copyright Information. - Contact Us

Integrated Publishing, Inc. - A (SDVOSB) Service Disabled Veteran Owned Small Business